找回密码
 注册
查看: 14749|回复: 28

流体中文网第二届数值模拟大赛第八弹!

  [复制链接]
发表于 2015-3-9 21:25:19 | 显示全部楼层 |阅读模式

马上注册,结交更多好友,享用更多功能,让你轻松玩转社区。

您需要 登录 才可以下载或查看,没有账号?注册

x
这位作者是用英文提交的结果,两个算例均提交了数值计算结果,先看第一个算例结果,供大家欣赏
流体中文 网 第二 届数值 模 拟 大赛
徐 慎 忍 id: flowinflow
February 2, 2015

计算条件:The flow conditions for this case is summarised b elow:
• Mach number: 0.75
• Angle of attack: 2.72度
• Reynold’s number: 6.2 × 1000000
结果分析:
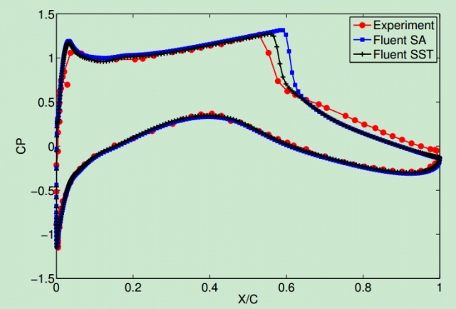
The conve rge d (s ee convergence criteria in the previous section) flows for both SA and SST turbulence mo dels are obtained and shown in Fig.2. Through numerical exp e rime nts, it was found that the setting that affects the final flow most is the turbulence mo del. On the left hand side of Fig.2, the sho ck p ositionfor SST is slightly ahead of that with SA mo del. Consequently, the eddy viscosity for the res ult with SST mo del is a ls o more diss ipate d in the wake, probably due to enhanced mixing. The pressure co efficient distribution for b oth results are compared with the
exp erimental results provide d by cfluid.com in Fig.4. Both SA and SST predicted a sho ck lo cation b ehind the actual one in exp eriment. The dis crepancy  between SST and exp eriment is smaller than using SA mo del. Never the less ,both show significant different in the pressure after the s hock. It is sp eculated by the authors that this significant error is due to the difference b etween the geometry used in the computation and the actual geometry, as the pressure distribution difference seems to close ly relate to the trailing edge shap e. This will b e the topic of further investigation.

SA模型计算网格

SA模型计算网格

SST模型计算网格

SST模型计算网格

SA模型马赫数云图

SA模型马赫数云图

SST模型马赫数云图

SST模型马赫数云图

SA模型涡粘系数

SA模型涡粘系数

SST模型涡粘系数

SST模型涡粘系数

压力系数比较

压力系数比较
发表于 2015-3-10 14:08:23 | 显示全部楼层
这一枪打的比较漂亮,要是各位参赛者同时提供残差曲线就更完美了。现在有些结果看上去像是没有收敛的结果。

点评

是的,我算得结果都是1e-4左右,其实这个算例接近 buffet, 线性稳定还有待考察。 最近有一些工作在深究这些问题 (transonic-buffet),有进展会在这里发帖继续交流。  详情 回复 发表于 2015-3-14 21:19
 楼主| 发表于 2015-3-11 22:00:15 | 显示全部楼层
3月15号之前应该可以发完 然后就进行评比了 各位可以在认为做的好的作品下面多留言 我们会适当参考的
发表于 2015-3-11 22:11:59 | 显示全部楼层
我很好奇这个网格是用什么做的,用什么算的,作者的英语真好,赞一个

点评

网格就是简单的 ICEM CFD. 最外面是后来另加的一层网格,因为发现原先的网格远场不够远,影响压力分布。  详情 回复 发表于 2015-3-14 21:15
发表于 2015-3-11 22:19:39 | 显示全部楼层
一分耕耘一分收获,给大家带来的是一阵惊艳。不知道能不能把激波的算法放进去以提高计算精度。期待作者的进一步研究成果

点评

不知道‘激波的算法放进去以提高计算精度’ 具体是什么意思。 现在用的是二阶精度roe flux.  详情 回复 发表于 2015-3-14 21:17
发表于 2015-3-13 09:29:35 | 显示全部楼层
高手在民间,看样子,这位参赛者英文比中文熟悉,

点评

其实主要是我在 ubuntu 12.04 尚未找到很智能的品鹰输入法,所以英语简单一些,见笑了。  详情 回复 发表于 2015-3-15 04:48
发表于 2015-3-14 21:15:36 | 显示全部楼层
milaoshu 发表于 2015-3-11 22:11
我很好奇这个网格是用什么做的,用什么算的,作者的英语真好,赞一个

网格就是简单的 ICEM CFD. 最外面是后来另加的一层网格,因为发现原先的网格远场不够远,影响压力分布。

点评

受教了,你这个网格的光顺性看起来好像很好的样子,不知拓扑结构如何调的  详情 回复 发表于 2015-3-15 13:56
发表于 2015-3-14 21:17:03 | 显示全部楼层
guxuan1979 发表于 2015-3-11 22:19
一分耕耘一分收获,给大家带来的是一阵惊艳。不知道能不能把激波的算法放进去以提高计算精度。期待作者的进 ...

不知道‘激波的算法放进去以提高计算精度’ 具体是什么意思。 现在用的是二阶精度roe flux.
发表于 2015-3-14 21:19:43 | 显示全部楼层
周华 发表于 2015-3-10 14:08
这一枪打的比较漂亮,要是各位参赛者同时提供残差曲线就更完美了。现在有些结果看上去像是没有收敛的结果。 ...

是的,我算得结果都是1e-4左右,其实这个算例接近 buffet, 线性稳定还有待考察。
最近有一些工作在深究这些问题 (transonic-buffet),有进展会在这里发帖继续交流。

点评

激波抖振需要非定常求解 还是比较难算的 相比翼型的激波震荡导致的抖振现象 我觉得还是由分离涡引起的垂尾抖振现象比较好算 判据比较清晰 例如翼尖弯矩、升力线拐点等  详情 回复 发表于 2015-3-14 21:51
发表于 2015-3-14 21:41:02 | 显示全部楼层
buffet比较难得到理想的解,期待作者的进展!
 楼主| 发表于 2015-3-14 21:51:55 | 显示全部楼层
flowinflow 发表于 2015-3-14 21:19
是的,我算得结果都是1e-4左右,其实这个算例接近 buffet, 线性稳定还有待考察。
最近有一些工作在深究 ...

激波抖振需要非定常求解 还是比较难算的  相比翼型的激波震荡导致的抖振现象  我觉得还是由分离涡引起的垂尾抖振现象比较好算  判据比较清晰 例如翼尖弯矩、升力线拐点等  

点评

确实在失稳机制上还不是很清楚,我最近才开始关注这个问题。 分离涡导致的震荡似乎要简单一些,谱分析里面有一对明显的 失稳特征值能和流动物理关联起来。激波抖振在线性失稳时的 不稳定模态(kelvin helmholtz)似  详情 回复 发表于 2015-3-15 03:09
发表于 2015-3-15 03:09:02 | 显示全部楼层
41906957 发表于 2015-3-14 21:51
激波抖振需要非定常求解 还是比较难算的  相比翼型的激波震荡导致的抖振现象  我觉得还是由分离涡引起的 ...

确实在失稳机制上还不是很清楚,我最近才开始关注这个问题。
分离涡导致的震荡似乎要简单一些,谱分析里面有一对明显的
失稳特征值能和流动物理关联起来。激波抖振在线性失稳时的
不稳定模态(kelvin helmholtz)似乎和线性失稳后的LCO模态差别
很大。

同时,kelvin helmholtz 类型的失稳意味着要用很小的时间和空
间步才能模拟出失稳的全过程(可以假设失稳最先发生在激波
和边界层交界处)。但是基于rans的模拟一般又达不到那个网格
进度。

甚至有‘专家’提出过用rans是‘捕捉’不到buffet的发展过程的.
至少要les。

因此这个翼型的升力曲线是非常难算对的。可靠的计算我觉得至少
要用LES算非定常知道平均力收敛。

所以zhou hua 问到收敛曲线我觉得算是问到关键了。




点评

目前来说 LES方法计算抖振还不现实 DES方法计算的结果逐渐被人们所接受,但也存在一些问题,如果利用宏观的物理量 例如机翼的翼根弯矩来作为抖振判据 RANS还是有一定的可信性的。但是脉动压力作为判据的结果 可能  详情 回复 发表于 2015-3-15 20:20
发表于 2015-3-15 04:48:44 | 显示全部楼层
030301029 发表于 2015-3-13 09:29
高手在民间,看样子,这位参赛者英文比中文熟悉,

其实主要是我在 ubuntu 12.04 尚未找到很智能的品鹰输入法,所以英语简单一些,见笑了。
发表于 2015-3-15 13:56:06 | 显示全部楼层
flowinflow 发表于 2015-3-14 21:15
网格就是简单的 ICEM CFD. 最外面是后来另加的一层网格,因为发现原先的网格远场不够远,影响压力分布。
...

受教了,你这个网格的光顺性看起来好像很好的样子,不知拓扑结构如何调的

点评

其实就是简单的C网格,只不过流向和发向都又细分了两次。 待会儿把分块贴上来供参考。  详情 回复 发表于 2015-3-15 19:13
发表于 2015-3-15 19:13:54 | 显示全部楼层
milaoshu 发表于 2015-3-15 13:56
受教了,你这个网格的光顺性看起来好像很好的样子,不知拓扑结构如何调的

其实就是简单的C网格,只不过流向和发向都又细分了两次。 待会儿把分块贴上来供参考。

点评

赞一个 好好学习楼主的精神 哈哈  详情 回复 发表于 2015-3-15 22:34
您需要登录后才可以回帖 登录 | 注册

本版积分规则

快速回复 返回顶部 返回列表