Home
个人中心
广告服务
使用帮助
关于我们
登录
注册
用户名
Email
自动登录
找回密码
密码
登录
注册
搜索
本版
用户
首页
Portal
前沿
动态
人物
会议
工具
论坛
BBS
家园
Space
好友
帖子
收藏
道具
勋章
任务
淘帖
导读
设置
退出
流体中文网
»
论坛
›
软件学习
›
Fluent论坛
›
UDF专题讨论区
›
将能量方程修改成这个形式怎么写udf,已知是可以通过加 ...
返回列表
查看:
2093
|
回复:
2
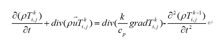
将能量方程修改成这个形式怎么写udf,已知是可以通过加源项,但该怎么写udf?
[复制链接]
Qmns
Qmns
当前离线
积分
29
IP卡
狗仔卡
发表于 2023-11-10 21:12:27
|
显示全部楼层
|
阅读模式
马上注册,结交更多好友,享用更多功能,让你轻松玩转社区。
您需要
登录
才可以下载或查看,没有账号?
注册
x
回复
使用道具
举报
提升卡
置顶卡
沉默卡
喧嚣卡
变色卡
显身卡
Qmns
Qmns
当前离线
积分
29
IP卡
狗仔卡
楼主
|
发表于 2023-11-10 21:12:40
|
显示全部楼层
新手求助
:'(
回复
支持
反对
使用道具
举报
显身卡
bidax
bidax
当前离线
积分
126
IP卡
狗仔卡
发表于 2024-1-9 15:33:44
|
显示全部楼层
请问 就是从这些方程到写UDF这其中转化怎么学呀?有撒资料推荐吗
回复
支持
反对
使用道具
举报
显身卡
返回列表
高级模式
B
Color
Image
Link
Quote
Code
Smilies
您需要登录后才可以回帖
登录
|
注册
本版积分规则
发表回复
回帖后跳转到最后一页
浏览过的版块
会议征文
CFD实战技术
其它CFD软件论坛
实验技术与设备
STAR CCM+论坛
新闻频道
FloEFD论坛
开源软件论坛
NUMECA论坛
流体力学基础
快速回复
返回顶部
返回列表