找回密码
 注册
查看: 3272|回复: 5

【新增推导详情】由可压缩NS方程向不可压缩推导,多出了密度和粘性?

[复制链接]
发表于 2013-2-1 11:50:21 | 显示全部楼层 |阅读模式

马上注册,结交更多好友,享用更多功能,让你轻松玩转社区。

您需要 登录 才可以下载或查看,没有账号?注册

x
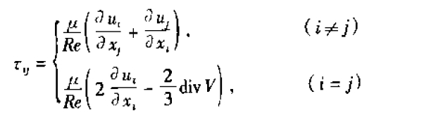
如图所示:(推导已在4楼给出

[ 本帖最后由 sxhqjfl 于 2013-2-5 06:49 编辑 ]
360软件小助手截图20130201120457.jpg
发表于 2013-2-1 14:49:17 | 显示全部楼层
你是怎么推导的?求过程
发表于 2013-2-1 17:58:47 | 显示全部楼层
密度带单位,说明你的不是无量纲方程。
 楼主| 发表于 2013-2-1 20:21:08 | 显示全部楼层


见附图:我看的书是傅德薰《计算流体力学》2002 page 7-9,但是上面的过程及其简略,没有推导过程,郁闷。
360软件小助手截图20130201203353.jpg

[ 本帖最后由 sxhqjfl 于 2013-2-1 20:22 编辑 ]
360软件小助手截图20130201203633.jpg
 楼主| 发表于 2013-2-2 06:40:37 | 显示全部楼层

回复 3# shirazbj 的帖子

我的密度是无量纲的。上面所有的物理量都是无量纲量。包括密度,速度,长度等等。
 楼主| 发表于 2013-2-2 06:41:02 | 显示全部楼层

回复 2# xyz33uu 的帖子

推导已给出,求解答

[ 本帖最后由 sxhqjfl 于 2013-2-7 07:16 编辑 ]
您需要登录后才可以回帖 登录 | 注册

本版积分规则

快速回复 返回顶部 返回列表