找回密码
 注册
查看: 13829|回复: 5

求助N-S方程无量纲化的详细步骤(尤其是能量方程的)

[复制链接]
发表于 2013-1-31 12:53:53 | 显示全部楼层 |阅读模式

马上注册,结交更多好友,享用更多功能,让你轻松玩转社区。

您需要 登录 才可以下载或查看,没有账号?注册

x
开始看傅德薰老师的《计算流体力学》,对里面的无量纲化进行推导,但是尤其对于能量方程无法无量纲化,里面的能量E怎么无量纲化?还有导热系数k怎么无量纲化?剪切应力的特征量是怎么规定的?最好能有整个的详细步骤,谢谢!
最关键的是关于两个问题:
360软件小助手截图20130131204555.jpg
360软件小助手截图20130131204614.jpg
360软件小助手截图20130131204627.jpg

[ 本帖最后由 sxhqjfl 于 2013-1-31 20:35 编辑 ]
发表于 2013-2-2 21:33:55 | 显示全部楼层
Cp的量纲以应该是对的,h0(总焓)=Cp*T+0.5*U^2。Cp*T的量纲与速度U的量纲一致。
剪应力貌似不对吧,Tau应与du/dx 量纲一致吧。
 楼主| 发表于 2013-2-3 07:12:29 | 显示全部楼层
原帖由 峻峰 于 2013-2-2 21:33 发表
Cp的量纲以应该是对的,h0(总焓)=Cp*T+0.5*U^2。Cp*T的量纲与速度U的量纲一致。
剪应力貌似不对吧,Tau应与du/dx 量纲一致吧。


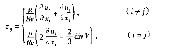
多谢回答,但是关于剪应力,我推导出确实是那样的啊。参考的是傅德薰的《计算流体力学》,page 8
里面几乎没有步骤,但是最后给出了无量纲后的剪应力的计算公式:(见下图)
360软件小助手截图20130201203633.jpg
我按照这个公式,反推导,确实是得到一楼的形式啊。。。。
发表于 2013-2-3 16:35:54 | 显示全部楼层
看了一下傅老师的书,Tau的无量纲化方式确实为密度*速度的平方,与压力的量纲一致。
按照傅老师书上的描述,E的无量纲方式也应与压力一致。关于导热系数K=miu*Cp/Pr,在对能量方程无量纲的时候,可将k用miu*Cp/Pr代替。miu的无量纲用miu_ref,Cp用U_ref/T_ref,即可。这里面似乎无量纲的量也就L_ref, rho_ref,U_ref,L_ref,miu_ref吧,其他的总可以用这几个量代替,如压力用rho_ref*U_ref^2,L_ref/U_ref等等。
 楼主| 发表于 2013-2-3 17:38:41 | 显示全部楼层

回复 4# 峻峰 的帖子

嗯,我跟你想的一样!只是"Cp用U_ref^2/T_ref无量纲化" 总算是了解了自己的一个大问题。。。多谢了
发表于 2016-3-15 15:00:54 | 显示全部楼层
非常感谢学长们的讨论
您需要登录后才可以回帖 登录 | 注册

本版积分规则

快速回复 返回顶部 返回列表