Home
个人中心
广告服务
使用帮助
关于我们
登录
注册
用户名
Email
自动登录
找回密码
密码
登录
注册
搜索
本版
用户
首页
Portal
前沿
动态
人物
会议
工具
论坛
BBS
家园
Space
好友
帖子
收藏
道具
勋章
任务
淘帖
导读
设置
退出
流体中文网
»
论坛
›
工程应用
›
船舶与海洋工程论坛
›
船模阻力水池试验问题
返回列表
查看:
4636
|
回复:
6
船模阻力水池试验问题
[复制链接]
qixizhiying
qixizhiying
当前离线
积分
117
IP卡
狗仔卡
发表于 2012-8-2 13:09:16
|
显示全部楼层
|
阅读模式
马上注册,结交更多好友,享用更多功能,让你轻松玩转社区。
您需要
登录
才可以下载或查看,没有账号?
注册
x
请教个问题:在考虑纵倾和升沉运动船模静水阻力水池试验中,纵倾和升沉是稳定值,还是周期性波动值?如果是周期性波动值,纵倾和升沉的波动幅值大概是多少?最好能给出一个测试的例子。
我在做这方面的数值模拟,纵倾和升沉值一直有一定幅度的波动,不知道是数值计算引起的,还是水池试验就是有波动,请高手指点,谢谢!
回复
使用道具
举报
提升卡
置顶卡
沉默卡
喧嚣卡
变色卡
显身卡
zhmeww
zhmeww
当前离线
积分
972
IP卡
狗仔卡
发表于 2012-8-2 15:47:05
|
显示全部楼层
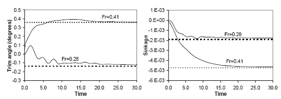
数值计算纵倾和升沉是周期性波动的,这是非常正常的,因为力本身就是周期性波动的,但波动的幅值会越来越小。具体可采用DTMB5415为例子进行测试。
[
本帖最后由 zhmeww 于 2012-8-2 07:51 编辑
]
回复
支持
反对
使用道具
举报
显身卡
qixizhiying
qixizhiying
当前离线
积分
117
IP卡
狗仔卡
楼主
|
发表于 2012-8-3 14:22:56
|
显示全部楼层
回复 2# zhmeww 的帖子
谢谢zhmeww,我模拟的结果波动比较大,还需仔细查一下原因。
回复
支持
反对
使用道具
举报
显身卡
qixizhiying
qixizhiying
当前离线
积分
117
IP卡
狗仔卡
楼主
|
发表于 2012-8-6 14:42:04
|
显示全部楼层
回复 2# zhmeww 的帖子
请问DTMB5415纵倾和升沉的那张图出自那篇文章?能不能把这篇文章发给我?谢谢!
wuming0411@126.com
回复
支持
反对
使用道具
举报
显身卡
zhmeww
zhmeww
当前离线
积分
972
IP卡
狗仔卡
发表于 2012-8-6 20:17:09
|
显示全部楼层
文章已发邮件。有问题再交流。
回复
支持
反对
使用道具
举报
显身卡
qixizhiying
qixizhiying
当前离线
积分
117
IP卡
狗仔卡
楼主
|
发表于 2012-8-7 10:44:38
|
显示全部楼层
收到了,谢谢!
回复
支持
反对
使用道具
举报
显身卡
dragonship2011
dragonship2011
当前离线
积分
62
IP卡
狗仔卡
发表于 2013-7-10 11:03:54
|
显示全部楼层
回复 1# qixizhiying 的帖子
请问,lz这里的船舶升沉,纵摇运动是船舶的主动运动还是被动运动?
回复
支持
反对
使用道具
举报
显身卡
返回列表
高级模式
B
Color
Image
Link
Quote
Code
Smilies
您需要登录后才可以回帖
登录
|
注册
本版积分规则
发表回复
回帖后跳转到最后一页
浏览过的版块
流体力学基础
能源与动力论坛
ANSYS论坛
招生招聘
STAR CCM+论坛
ICEMCFD论坛
新闻频道
实验技术与设备
多相流论坛
Phoenics论坛
快速回复
返回顶部
返回列表