Home
个人中心
广告服务
使用帮助
关于我们
登录
注册
用户名
Email
自动登录
找回密码
密码
登录
注册
搜索
本版
用户
首页
Portal
前沿
动态
人物
会议
工具
论坛
BBS
家园
Space
好友
帖子
收藏
道具
勋章
任务
淘帖
导读
设置
退出
流体中文网
»
论坛
›
软件学习
›
Fluent论坛
›
请教动网格能否实现这样的情况?
返回列表
查看:
1322
|
回复:
0
请教动网格能否实现这样的情况?
[复制链接]
upqianglin
upqianglin
当前离线
积分
38
IP卡
狗仔卡
发表于 2009-11-9 20:47:21
|
显示全部楼层
|
阅读模式
马上注册,结交更多好友,享用更多功能,让你轻松玩转社区。
您需要
登录
才可以下载或查看,没有账号?
注册
x
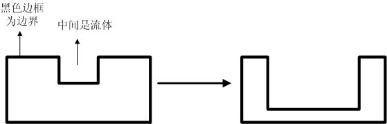
见图
加深的线为WALL边界,想将中间的口子进行变化,从左图逐渐变成右图。口子里面还有流体。
不知道如何实现,请各位大侠帮忙!十分感谢!
回复
使用道具
举报
提升卡
置顶卡
沉默卡
喧嚣卡
变色卡
显身卡
返回列表
高级模式
B
Color
Image
Link
Quote
Code
Smilies
您需要登录后才可以回帖
登录
|
注册
本版积分规则
发表回复
回帖后跳转到最后一页
浏览过的版块
CFD实战技术
茶余饭后
Phoenics论坛
CFD基础理论
ANSYS论坛
实验技术与设备
燃烧论坛
仿生流体与流固耦合
前后处理软件论坛
快速回复
返回顶部
返回列表