找回密码
 注册
查看: 22823|回复: 20

流体中文网第二届数值模拟大赛第六弹!

  [复制链接]
发表于 2015-2-27 21:52:32 | 显示全部楼层 |阅读模式

马上注册,结交更多好友,享用更多功能,让你轻松玩转社区。

您需要 登录 才可以下载或查看,没有账号?注册

x
本帖最后由 41906957 于 2015-2-27 22:11 编辑

                                                           超临界RAE2822翼型数值模拟
                                                                       作者:木易流体工作室,陕西 西安
                                                                         论坛ID:guhuochina
1、摘要:采用商业软件对RAE2822翼型的气动特性进行了数值模拟, 流动模型为雷诺平均N-S方程。在此基础上研究了不同网格法向高度以及不同湍流模型的计算准确度。获得了来流马赫数0.75、雷诺数6.2×106、攻角2.72°时,翼型表面的压力系数、马赫数及湍流粘性系数云图。同时,获得了马赫数0.75、雷诺数6.2×106 时,翼型升力系数曲线及失速攻角。
2、数值方法:
数值求解时,空间离散采用二阶精度的具有TVD性质的HLLC方法,为了避免高阶精度格式下解在间断附近出现的非物理振荡,采用了Min-Mod限制器,时间上采用点隐式方法进行迭代推进,直至流场收敛。
3、网格无关性研究:
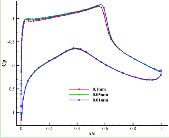
为了保证计算结果,采用结构化网格,壁面网格进行加密,为了确保计算结果与网格无关,本文研究了壁面第一层网格法向高度分别是0.1mm、0.05mm及0.01mm三套网格对计算结果的影响,从计算结果得到,当壁面第一层网格法向高度减小到0.05mm后,壁面y +值接近于1,流场分布云图、翼型压力系数曲线不再随壁面第一层网格法向高度变化而变化,即计算结果与网格无关,因此,本文计算时,壁面第一层网格法向高度选用的是0.01mm,以保证网格无关性。如图1.
4、 湍流模型对计算结果影响分析:
跨音速流动采用RANS方法的最大不确定性之一来源于湍流模型,因此研究适用的湍流模型成为当前重要的问题。经过网格对计算结果的影响研究, 确定了第一层网格法向高度选取为0.01mm。本文选用对比的湍流模型一共有两个:Realizable k-e模型和SST k-模型。如图2






                                                                                                           


图1 不同壁面第一层网格法向高度计算的压力系数分布曲线

图1 不同壁面第一层网格法向高度计算的压力系数分布曲线

图2 不同湍流模型计算的压力系数分布曲线

图2 不同湍流模型计算的压力系数分布曲线

图3 两种湍流模型计算的压力系数与实验结果对比

图3 两种湍流模型计算的压力系数与实验结果对比

图4(a) SST k-w 马赫数分布云图

图4(a) SST k-w 马赫数分布云图

图4 (b) Realizable马赫数分布云图 k-e

图4 (b) Realizable马赫数分布云图 k-e

图5 压力系数分布云图

图5 压力系数分布云图

图5 压力系数分布云图

图5 压力系数分布云图

图6 湍流粘性系数分布云图

图6 湍流粘性系数分布云图

图6 湍流粘性系数分布云图

图6 湍流粘性系数分布云图
7a.png
9.png

评分

1

查看全部评分

发表于 2015-2-27 22:19:03 | 显示全部楼层
狂赞,杨大哥!!!!!!!!!!
发表于 2015-3-2 20:31:25 | 显示全部楼层
做的很专业,赞!
 楼主| 发表于 2015-3-2 21:20:02 | 显示全部楼层
总有一些选手做的很认真 这些选手的态度值得学习
发表于 2015-3-2 22:39:13 | 显示全部楼层
第一层网格法向高度分别是0.1mm、0.05mm及0.01mm, 有没有计算分别对应的y+?
发表于 2015-3-3 22:17:01 | 显示全部楼层
看出了严谨和专业,赞一个
 楼主| 发表于 2015-3-3 22:23:38 | 显示全部楼层
guxuan1979 发表于 2015-3-3 22:17
看出了严谨和专业,赞一个

谢谢顾姐姐对选手的肯定
发表于 2015-3-4 08:39:31 | 显示全部楼层
用的什么软件算的呢?
 楼主| 发表于 2015-3-4 19:48:19 | 显示全部楼层
应该是fluent
发表于 2015-3-4 21:26:13 | 显示全部楼层
hityangsir 发表于 2015-3-2 22:39
第一层网格法向高度分别是0.1mm、0.05mm及0.01mm, 有没有计算分别对应的y+?

可以找个y+计算工具算一下。但一般都是估计一个y+,然后算第一层厚度。你可以试着反过来推一下作者用的那个y+值。
http://geolab.larc.nasa.gov/APPS/YPlus/
http://www.cfd-online.com/Tools/yplus.php

发表于 2015-3-5 20:35:39 | 显示全部楼层
谢谢给位的评价,我是采用CFD++计算的。
发表于 2015-3-10 19:24:24 | 显示全部楼层
这个算得不错!
发表于 2015-3-13 09:27:39 | 显示全部楼层
看着结果不错。
发表于 2015-3-13 23:22:33 | 显示全部楼层
感觉很赞啊 呵呵
发表于 2015-3-15 01:14:49 | 显示全部楼层
这个不错!
您需要登录后才可以回帖 登录 | 注册

本版积分规则

快速回复 返回顶部 返回列表