找回密码
 注册
查看: 6058|回复: 3

流体中文网第二届数值模拟大赛第二弹

  [复制链接]
发表于 2015-2-12 19:55:09 | 显示全部楼层 |阅读模式

马上注册,结交更多好友,享用更多功能,让你轻松玩转社区。

您需要 登录 才可以下载或查看,没有账号?注册

x
感谢大家的支持,本次的发布的结果是由ID为shineway的坛友的作品,供大家欣赏。
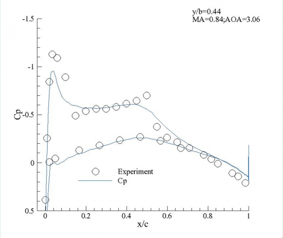
所选题目:M6机翼数值模拟,马赫数为0.84,迎角为3.06。,雷诺数(基于平均气动弦长)为2.0×107状态下的流场特性。
要求给出y/b=0.2,0.44,0.80,0.95处的压力系数曲线以及该截面处的马赫数云图。
计算软件:使用Fastran计算M6机翼的绕流流场,使用CFD-VIEW,Tecplot对结果进行处理,并将其与风洞实验值比较。

几何模型

几何模型

计算网格

计算网格
0.2yun.png
0.2Cp.png

z/l=0.44翼剖面马赫数分布

 z/l=0.44翼剖面马赫数分布

z/l=0.44翼剖面翼面压力系数分布

z/l=0.44翼剖面翼面压力系数分布

z/l=0.8翼剖面马赫数分布

 z/l=0.8翼剖面马赫数分布

z/l=0.8翼剖面翼面压力系数分布

z/l=0.8翼剖面翼面压力系数分布

z/l=0.95翼剖面马赫数分布

 z/l=0.95翼剖面马赫数分布

z/l=0.95翼剖面翼面压力系数分布

z/l=0.95翼剖面翼面压力系数分布
发表于 2015-2-12 20:13:23 | 显示全部楼层
沙发
发表于 2015-2-17 20:29:50 | 显示全部楼层
板凳
您需要登录后才可以回帖 登录 | 注册

本版积分规则

快速回复 返回顶部 返回列表