|
|
马上注册,结交更多好友,享用更多功能,让你轻松玩转社区。
您需要 登录 才可以下载或查看,没有账号?注册
x

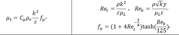
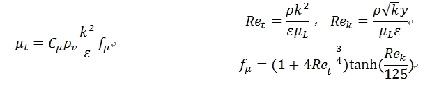
最近需要采用udf修正湍流粘性,修正方法如图1.jpg所示,在udf中最疑惑的使用了函数C_WALL_DIST(c,t),
这时也找到了版里的2005年的讨论,
http://www.cfluid.com/bbs/viewthread.php?tid=46243&highlight=C%5C_WALL%5C_DIST
http://www.cfluid.com/bbs/viewthread.php?tid=46239&highlight=C%5C_WALL%5C_DIST
目前我也存在和第二个链接相同的问题,udf编译没有问题,但是一开始迭代计算就报错了。Note exact events leading to error
详细地看了这两个楼,感觉问题也没有完全解决。
在udf中如果将C_WALL_DIST(c,t)暂时替换成一个常数,则没有问题,否则就报错。
udf如下,希望能够得到大家的指导,另外cas源文件见2楼。
#include "udf.h"
DEFINE_TURBULENT_VISCOSITY(user_mu_bianjie, c, t)
{
Thread *pri_th, *sec_th;
real mu_bianjie,rhoV,rhoL,fmiu,Ret,Rek,rho;
enum
{
TKE,
TDR,
N_REQUIRED_UDS
};
real k=C_K(c,t);
real d=C_D(c,t);
pri_th = THREAD_SUB_THREAD(t,0); /*指向混合区的液相的指针*/
sec_th = THREAD_SUB_THREAD(t,1); /*指向混合区的气相的指针*/
rhoV=C_R(c,sec_th);
rhoL=C_R(c,pri_th);
rho=C_VOF(c,sec_th)*rhoV+(1-C_VOF(c,sec_th))*rhoL;
Ret=rho*k*k/d/0.000997;
Rek=rho*sqrt(C_UDSI(c,t,TKE))*C_WALL_DIST(c,t)/0.000997;
fmiu=(1+4*pow(Ret,-0.75))*tanh(Rek/125);
mu_bianjie=fmiu*0.085*k*k*rho/d;
return mu_bianjie;
}
[ 本帖最后由 youy624 于 2013-7-2 16:34 编辑 ] |
|