找回密码
 注册
查看: 8373|回复: 20

压强穿过边界层不变

[复制链接]
发表于 2012-3-25 23:23:30 | 显示全部楼层 |阅读模式

马上注册,结交更多好友,享用更多功能,让你轻松玩转社区。

您需要 登录 才可以下载或查看,没有账号?注册

x
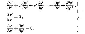
如图片所示,第二个方程说明穿过边界层压强在y方向不变,而x方向的压强梯度在边界层内外大致相等。这个怎么解释的啊?为什么p对y的偏导数为0了啊?流体力学上遇见,书上只有一句话啊,”压强穿过边界层不变“原理,在传热学中也遇见,在传质学上也遇见啊!到底是怎么推导出来的呢?麻烦各位大虾了!

题目图片

题目图片
发表于 2012-3-25 23:40:19 | 显示全部楼层
试试牛顿第二定律,就知道了。
压力梯度就是力,那么加速度是什么呢?
 楼主| 发表于 2012-3-26 22:57:44 | 显示全部楼层

这个没怎么懂啊?嘿嘿...我是本科生哈,还请仔细一点,麻烦大虾了哈!
发表于 2012-3-26 23:22:43 | 显示全部楼层
牛顿第二定律,本科生也应该知道的。再说一句,把牛顿第二定律用在跟边界(也就是流动)垂直的方向上。
 楼主| 发表于 2012-3-28 23:42:28 | 显示全部楼层
原帖由 通流 于 2012-3-26 23:22 发表
牛顿第二定律,本科生也应该知道的。再说一句,把牛顿第二定律用在跟边界(也就是流动)垂直的方向上。
果断还是没有解决啊!老师都不知道是个什么情况?胡乱解释了一通啊!是不是还要用到纳维-斯托克斯方程推导的具体过程啊?
发表于 2012-3-29 00:02:11 | 显示全部楼层
老师是怎么说的?
 楼主| 发表于 2012-3-29 00:16:26 | 显示全部楼层
原帖由 通流 于 2012-3-29 00:02 发表
老师是怎么说的?
老师说自己也不是很清楚,还发了邮件去问编书的作者,编书的作者说这一章不是我编的,还要去找边这一章的人来问,但是给编这章的那个作者发了邮件,一直未见回复啊!哎!写书也不写清楚啊,直接写个由量级分析得!
发表于 2012-3-29 00:33:07 | 显示全部楼层
那你就试试量级分析吗。
 楼主| 发表于 2012-3-29 00:59:38 | 显示全部楼层
原帖由 通流 于 2012-3-29 00:33 发表
那你就试试量级分析吗。
我试过了,所有的都能简化,这个问题我想了一年了,到现在还未能解决,不知道是怎么回事?不知道是不是思路上出了问题!
 楼主| 发表于 2012-4-8 12:23:59 | 显示全部楼层
原帖由 通流 于 2012-3-29 00:33 发表
那你就试试量级分析吗。

还望继续指点啊!
发表于 2012-4-21 22:53:04 | 显示全部楼层
有些教材可能遍得不是太严谨,但是你去多找找别的书来看应该马上会懂,pope的上有
发表于 2012-4-29 18:39:44 | 显示全部楼层
原帖由 硫酸铜 于 2012-3-25 15:23 发表
如图片所示,第二个方程说明穿过边界层压强在y方向不变,而x方向的压强梯度在边界层内外大致相等。这个怎么解释的啊?为什么p对y的偏导数为0了啊?流体力学上遇见,书上只有一句话啊,”压强穿过边界层不变“原理,在 ...

我觉得 ‘穿过边界层压强在y方向不变’ 是一个假设。这个针对平板流来说应该成立。
如果壁面的曲率不为0,流场没有分离,那么这种假设不成立(需要压差提供向心力来平衡离心力,不然流场就会分离)
 楼主| 发表于 2012-5-6 17:49:35 | 显示全部楼层

回复 11# jollage 的帖子

所有书上全是众口一词啊,都说是压力穿过边界层不变原理啊!
 楼主| 发表于 2012-5-6 17:51:29 | 显示全部楼层

回复 12# wangdingxi 的帖子

怎么觉得看不懂大神说的什么呢?
 楼主| 发表于 2012-5-6 17:51:58 | 显示全部楼层

回复 12# wangdingxi 的帖子

能通俗易懂一点么?
您需要登录后才可以回帖 登录 | 注册

本版积分规则

快速回复 返回顶部 返回列表