Home
个人中心
广告服务
使用帮助
关于我们
登录
注册
用户名
Email
自动登录
找回密码
密码
登录
注册
搜索
本版
用户
首页
Portal
前沿
动态
人物
会议
工具
论坛
BBS
家园
Space
好友
帖子
收藏
道具
勋章
任务
淘帖
导读
设置
退出
流体中文网
»
论坛
›
软件学习
›
STAR CCM+论坛
›
自定义函数编辑和动静域网格问题
返回列表
查看:
3905
|
回复:
2
自定义函数编辑和动静域网格问题
[复制链接]
肥羊闷锅
肥羊闷锅
当前离线
积分
16
IP卡
狗仔卡
发表于 2022-1-1 16:18:16
|
显示全部楼层
|
阅读模式
马上注册,结交更多好友,享用更多功能,让你轻松玩转社区。
您需要
登录
才可以下载或查看,没有账号?
注册
x
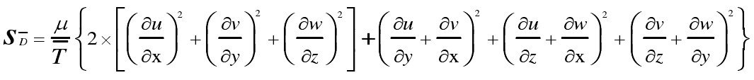
求助请教两个问题:
1.偏微分在自定义函数中如何编辑出来。
u,v,w是速度矢量三个方向。
2.算风扇之类中间有旋转域时,旋转域的部件需要和与其相接触的静压部件执行印压操作吗?我尝试了一下定常算出来流场差距不大,但是算非定常的时候,执行印压的方法动静域交界面不能随着定义的刚体运动旋转,这会有影响计算结果吗?
有人懂吗,可以有偿
回复
使用道具
举报
提升卡
置顶卡
沉默卡
喧嚣卡
变色卡
显身卡
嘿呀依儿呀
嘿呀依儿呀
当前离线
积分
203
IP卡
狗仔卡
发表于 2022-1-24 17:13:44
|
显示全部楼层
稳态和瞬态计算时,设置旋转轴的地方不一样,一个是rotation,一个是rotating,这个你有注意到吗?
回复
支持
反对
使用道具
举报
显身卡
墨攻AS
墨攻AS
当前离线
积分
26
IP卡
狗仔卡
发表于 2022-3-11 16:07:34
|
显示全部楼层
我在做冲击式水轮机射流的时候也遇到了2的问题,交界面并不旋转,导致射流偏转,进入旋转域的水流变少了。我尝试了很多种方法,也不能让旋转域的交界面静止下来。只有重新我画模型,让射流只和静止域相交,不要直接和旋转域产生小的交界面,这样射流就是平直,没有问题的。请问你对于问题2有什么好的解决办法吗?
回复
支持
反对
使用道具
举报
显身卡
返回列表
高级模式
B
Color
Image
Link
Quote
Code
Smilies
您需要登录后才可以回帖
登录
|
注册
本版积分规则
发表回复
回帖后跳转到最后一页
浏览过的版块
FLUENT深水区
航空航天论坛
实验技术与设备
正本清源
Fluent论坛
流体力学基础
茶余饭后
计算机技术
CFD实战技术
CFD理论初学者论坛
快速回复
返回顶部
返回列表