找回密码
 注册
查看: 3456|回复: 2

关于Zheng多相流模型的问题

[复制链接]
发表于 2013-5-1 21:57:31 | 显示全部楼层 |阅读模式

马上注册,结交更多好友,享用更多功能,让你轻松玩转社区。

您需要 登录 才可以下载或查看,没有账号?注册

x
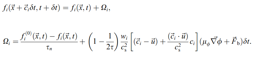
在 Zheng的多相流模型(A lattice Boltzmann model for multiphase flows with large density ratio, 2006),有两个迁移-碰撞方程分别来表示 N-S方程和界面方程。现在想要施加外力使两相之间发生相对运动,但是在这个模型里,外力只是施加在 两相密度和平均的演化方程里,而对两相密度差方程没有影响,而按照文献中的例子,模拟的是整个流场密度和平均基本相等,这样的话,只是两相密度和平均的方程对应了一个外力驱使下的速度,而对两相密度差方程没有影响,得不到我想要的不同相相对运动的结果。
不知道我在哪一步理解错了,请各位指点一下!
f 和 g 分别对应密度和平均和密度差平均的演化方程。
f.png
发表于 2014-11-20 11:48:40 | 显示全部楼层
你好,不知你还看这个论坛不,我也是用的zheng的模型,有个小问题想跟你讨论讨论,不知可以不?
发表于 2014-11-26 07:53:33 | 显示全部楼层
这篇paper问题很严重。
他们的最新paper:
Free-energy-based lattice Boltzmann model for the simulation of multiphase flows
with density contrast
您需要登录后才可以回帖 登录 | 注册

本版积分规则

快速回复 返回顶部 返回列表