Home
个人中心
广告服务
使用帮助
关于我们
登录
注册
用户名
Email
自动登录
找回密码
密码
登录
注册
搜索
本版
用户
首页
Portal
前沿
动态
人物
会议
工具
论坛
BBS
家园
Space
好友
帖子
收藏
道具
勋章
任务
淘帖
导读
设置
退出
流体中文网
»
论坛
›
工程应用
›
环境流体力学论坛
›
三维模型里水位该如何求?
返回列表
查看:
3095
|
回复:
2
三维模型里水位该如何求?
[复制链接]
mastergxm
mastergxm
当前离线
积分
312
IP卡
狗仔卡
发表于 2013-3-15 10:19:50
|
显示全部楼层
|
阅读模式
马上注册,结交更多好友,享用更多功能,让你轻松玩转社区。
您需要
登录
才可以下载或查看,没有账号?
注册
x
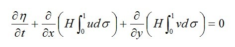
在模拟海洋和湖泊等大尺度水流时,都采用如下图所示的水位方程。对于三维模型,目前都是在垂向分成若干个层,每层会有一个速度。我想知道,如果知道了每层的流速u和v,由下式采用差分法计算水位时,其中的积分项是不是每层的流速乘以它的层厚就可以了?
回复
使用道具
举报
提升卡
置顶卡
沉默卡
喧嚣卡
变色卡
显身卡
a2883524
a2883524
当前离线
积分
2136
IP卡
狗仔卡
发表于 2013-3-28 12:57:44
|
显示全部楼层
你的积分0-1是什么意思呢?
回复
支持
反对
使用道具
举报
显身卡
mastergxm
mastergxm
当前离线
积分
312
IP卡
狗仔卡
楼主
|
发表于 2013-3-29 08:24:29
|
显示全部楼层
回复 2# a2883524 的帖子
积分就是从水底到水面进行积分,因为采用了一个sigma变换,将水深变成了无量纲,水底是0,水面是1。
回复
支持
反对
使用道具
举报
显身卡
返回列表
高级模式
B
Color
Image
Link
Quote
Code
Smilies
您需要登录后才可以回帖
登录
|
注册
本版积分规则
发表回复
回帖后跳转到最后一页
浏览过的版块
LBM
船舶与海洋工程论坛
实验技术与设备
UDF专题讨论区
Fluent论坛
正本清源
FloMASTER论坛
STAR CCM+论坛
开源软件论坛
HPC论坛
快速回复
返回顶部
返回列表