|
|

楼主 |
发表于 2013-3-20 19:17:37
|
显示全部楼层
关于此贴的求解待续
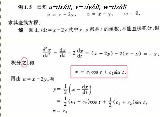
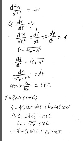
其实二楼的回复,给我启发的是非齐次方程求解。实际上,有很多不严密的地方。就好像读书时候做题,凭借对公式的熟悉和课后题位置优势(因为课后题一般紧跟课程内容,所以对于没摸得着头脑的题目比较容易猜得到用什么公式),可以假设,但是不能严密的推算。就像解微分方程会用到高数上册的积分表,因为懒得推而逐渐疏离(我承认如果需要速度,积分表的确比较快速省事)
最近比较忙已经许久没有上。为了对得起二楼的回复,我决定从微分方程这一章(高等数学同济第五版下册)开始看。弄清楚以后我再贴上计算方式。希望不用许久就能弄清楚。流体力学这本书我已经占用已久-_-b
[ 本帖最后由 Grinly 于 2013-3-20 19:19 编辑 ] |
|