找回密码
 注册
查看: 3890|回复: 2

电势和电荷密度的udf求助

[复制链接]
发表于 2011-5-26 09:51:13 | 显示全部楼层 |阅读模式

马上注册,结交更多好友,享用更多功能,让你轻松玩转社区。

您需要 登录 才可以下载或查看,没有账号?注册

x
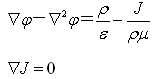
目的是为了求标量电势和电荷密度;电势是一个泊松方程 ;电荷密度的求解是电流密度连续性方程。不知道如何联合两方程求解。
电势和电荷密度.jpg
发表于 2011-5-26 21:59:19 | 显示全部楼层
我也在做这个事情 讨论下
发表于 2011-5-27 09:26:21 | 显示全部楼层
原帖由 definey 于 2011-5-26 01:51 发表
目的是为了求标量电势和电荷密度;电势是一个泊松方程 ;电荷密度的求解是电流密度连续性方程。不知道如何联合两方程求解。

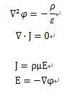
1式和4式合并成一个UDS方程。E放在源项中,利用J求出E。
无命名.jpg
您需要登录后才可以回帖 登录 | 注册

本版积分规则

快速回复 返回顶部 返回列表