找回密码
 注册
查看: 4483|回复: 5

求助--一个张量公式

[复制链接]
发表于 2011-1-29 20:47:24 | 显示全部楼层 |阅读模式

马上注册,结交更多好友,享用更多功能,让你轻松玩转社区。

您需要 登录 才可以下载或查看,没有账号?注册

x
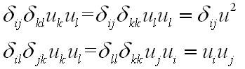
何教授LBM书上的公式3.123。
见下图,红色的部分是如何推到出来的?
Equ3_123.png
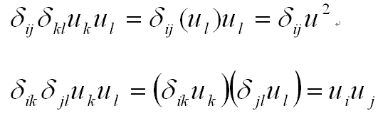
发表于 2011-1-29 21:29:44 | 显示全部楼层




注意下标

[ 本帖最后由 ywang 于 2011-1-29 21:38 编辑 ]
tensor.jpg
 楼主| 发表于 2011-1-29 22:00:01 | 显示全部楼层
谢谢
发表于 2011-1-30 02:43:20 | 显示全部楼层
可以这样的
2011-01-30_030213.png
 楼主| 发表于 2011-1-30 18:51:24 | 显示全部楼层
谢谢invader
发表于 2011-1-31 12:47:21 | 显示全部楼层
感到啊,
有人谢谢我,

好多人都是不给再回帖了,你做的很好,值得表扬
您需要登录后才可以回帖 登录 | 注册

本版积分规则

快速回复 返回顶部 返回列表