找回密码
 注册
查看: 7064|回复: 13

LBM圆柱绕流的两个基本问题

[复制链接]
发表于 2010-10-8 00:04:29 | 显示全部楼层 |阅读模式

马上注册,结交更多好友,享用更多功能,让你轻松玩转社区。

您需要 登录 才可以下载或查看,没有账号?注册

x
各位同仁,我想问一下用LBM方法计算二维圆柱绕流时的两个基本问题,希望有过相关经验的朋友帮忙回答一下。计算时采用曲线边界处理方法,传统的D2Q9-LBM模型,均匀网格;
1. 在计算圆柱表面压力系数分布时,我采用的是用最贴近圆柱边界的流体格点上的压力系数进行逼近,实际上,计算得到的压力系数与圆柱壁面压力系数有差别,如图1中红线所示,这样做的结果是得到的压力系数不连续,如图2所示;而我看文献中采用LBM方法的计算结果比较光滑,所以请问有没有加密网格以外的好办法用来得到连续的圆柱壁面压力系数分布? 我试过插值,结果也不太理想,希望有经验的朋友回答一下。
2. 请问直接使用D2Q9 LBM模型计算二维圆柱绕流一般可以达到多大的雷诺数?我在计算雷诺数稍高时(Re>200)得到的计算结果涡量场中经常会出现噪声,如图3所示。有什么办法可以克服这种现象吗?

真心希望有相关经验的朋友帮忙回答,或者联系邮箱:xxtshi@yahoo.com.cn,非常感谢!

[ 本帖最后由 xtshi 于 2010-10-8 00:18 编辑 ]

图1 圆柱界面及壁面压力系数计算格点(图中红线所示)。

图1 圆柱界面及壁面压力系数计算格点(图中红线所示)。

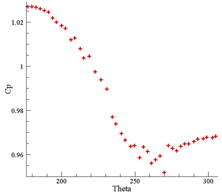
图2,压力系数沿圆柱表面分布,计算结果不连续。

图2,压力系数沿圆柱表面分布,计算结果不连续。

图3 Re=300瞬时涡量场填充图和等值线,在圆柱边界的流体出现噪声。

图3 Re=300瞬时涡量场填充图和等值线,在圆柱边界的流体出现噪声。
发表于 2010-10-8 09:09:32 | 显示全部楼层
1、本来就应该不是太光滑,加密,搞好一点的插值

2、MRT代替SRT,Re可以算得高一些

另,网格与特征长度之比 dx/L约为 1/sqrt(Re)的3-5分之一是最好的
 楼主| 发表于 2010-10-9 21:35:51 | 显示全部楼层

回复 2# onesupeng 的帖子

请教,MRT,SRT是什么意思?多谢!
发表于 2010-10-10 09:18:20 | 显示全部楼层

回复 3# xtshi 的帖子

MRT是LBM中的多松弛模型,SRT是单松弛模型,即是通常的BGK模型。
研究表明,MRT模型在稳定性方面要明显优于BGK模型,另外,在研究多孔介质流动时,也更具优势。
发表于 2010-10-10 09:22:01 | 显示全部楼层

回复 1# xtshi 的帖子

说实话,我觉得这个问题用反弹就可以了,并且该格式不易产生振荡。(附:插值通常会引起质量不守恒,这也会引起边界附近有振荡)
发表于 2012-7-30 20:36:44 | 显示全部楼层
我一直用郭老师的非平衡外推方法处理边界,还不错。就是收敛有点慢,呵呵
 楼主| 发表于 2012-7-31 19:13:05 | 显示全部楼层

回复 6# lwd1981 的帖子

多谢你的回复;计算不是非定常的吗?怎么说收敛啊?
 楼主| 发表于 2012-7-31 19:14:28 | 显示全部楼层

回复 6# lwd1981 的帖子

多谢你的回复;计算不是非定常的吗?怎么说收敛啊?难道你是说可以定常计算?
 楼主| 发表于 2012-7-31 19:15:34 | 显示全部楼层

回复 2# onesupeng 的帖子

多谢你的回复,晚点发个网格加密后的结果
发表于 2012-8-1 14:36:42 | 显示全部楼层
我这里讲的是定常计算。
非定常也应该可以,因为非平衡外推方法在小M情况下,具有二阶精度。
 楼主| 发表于 2012-8-1 22:25:15 | 显示全部楼层

回复 10# lwd1981 的帖子

呵呵,我只会做非定常计算;请教一下,定常计算怎么做?或者给篇文献,学习一下
发表于 2012-8-6 20:09:09 | 显示全部楼层
标准LBM,定常过程是按照非定常之间计算的,直到最终收敛。
对于非标准LBM,定常过程可以采用当地时间步长,隐式,预处理和低时间精度格式等方法加速收敛。
发表于 2012-8-6 20:33:25 | 显示全部楼层

回复 1# xtshi 的帖子

1、 用曲面边界插值方法可以提高计算精度。
2、减小格子尺寸可以提高Re极值。
 楼主| 发表于 2012-8-6 21:57:27 | 显示全部楼层

回复 13# kilin027 的帖子

多谢回复!
您需要登录后才可以回帖 登录 | 注册

本版积分规则

快速回复 返回顶部 返回列表