找回密码
 注册
查看: 4457|回复: 2

请教Surface Chemistry 中的Site Species的含义

[复制链接]
发表于 2010-6-24 08:57:42 | 显示全部楼层 |阅读模式

马上注册,结交更多好友,享用更多功能,让你轻松玩转社区。

您需要 登录 才可以下载或查看,没有账号?注册

x
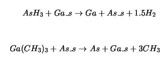
最近在学习Help中的surface chemistry模拟

1、其中提到下图的反应方程式:
    这个“Ga_s”“As_s”后面的“_s”,我原以为是固体的意思。
    不过在:Step 3: Materials 提到
    In this step, you will create the gas-phase species ( , , , ), the site species (Ga_s and As_s), and solid species (Ga and As).  说明“Ga_s”“As_s”是 site species


2、而且“Ga_s”“As_s”的Standard State Enthalpy 、Standard State Entropy很高,而solid species (Ga and As)的值是0.
      我也查看了fluent里面关于site species的解释,不过没看明白。

    麻烦各位大侠,用通俗的语言把这个site species描述一下,谢谢!
另外:这个“Ga_s”“As_s”是固态还是气态?

[ 本帖最后由 hfmobile 于 2010-6-24 09:07 编辑 ]
surface chemistry.jpg
surface chemistry01.jpg
发表于 2011-8-11 11:09:57 | 显示全部楼层
也不明白!高人快过来指点一下啊!
发表于 2011-10-27 19:56:28 | 显示全部楼层
隔了一年了 有没有人懂 指点一下
您需要登录后才可以回帖 登录 | 注册

本版积分规则

快速回复 返回顶部 返回列表