|
|

楼主 |
发表于 2009-8-18 20:58:58
|
显示全部楼层
回复 2# xrs333 的帖子
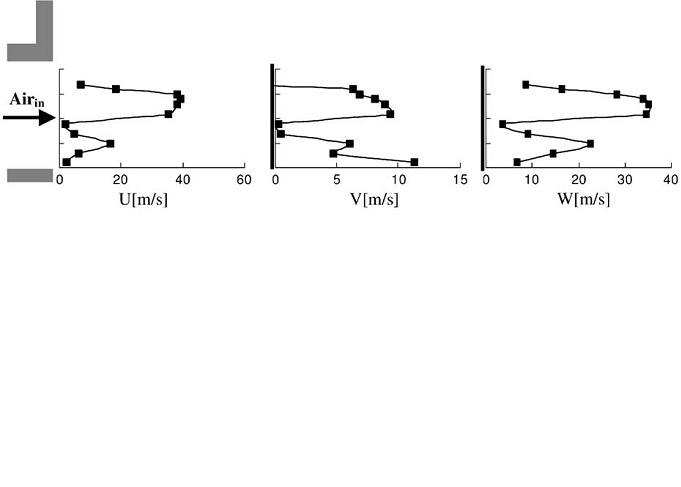
首先非常感谢你,这么深入的分析这个问题。
我一时疏忽忘记说明了,文献中有较详细的湍流参数和温度。
我也不敢确定效果不好是否是由于采用了Boundary Profile的原因,但模拟的速度入口与实际试验数据目前还存在些误差,所以,这应该对结构有所影响吧?
我联系的作者发来的数据点就这么多(已经有比较多的人对此进行了模拟,都是些老外,我想实验数据点应该够用,呵呵!前人模拟的文章都是用速度出口处1mm速度来确定入口速度的,速度位置估计不是影响原因。)
至于Boundary Profile的知识,我也仅限于fluent6.3帮助上的知识。不知profile中有无大于0阶的插值。
计算域以及边界条件,网格等的影响我也正在思考中。
不知你有什么独特的意见?希望能保持联系!!再次谢谢!! |
|