找回密码
 注册
查看: 2789|回复: 3

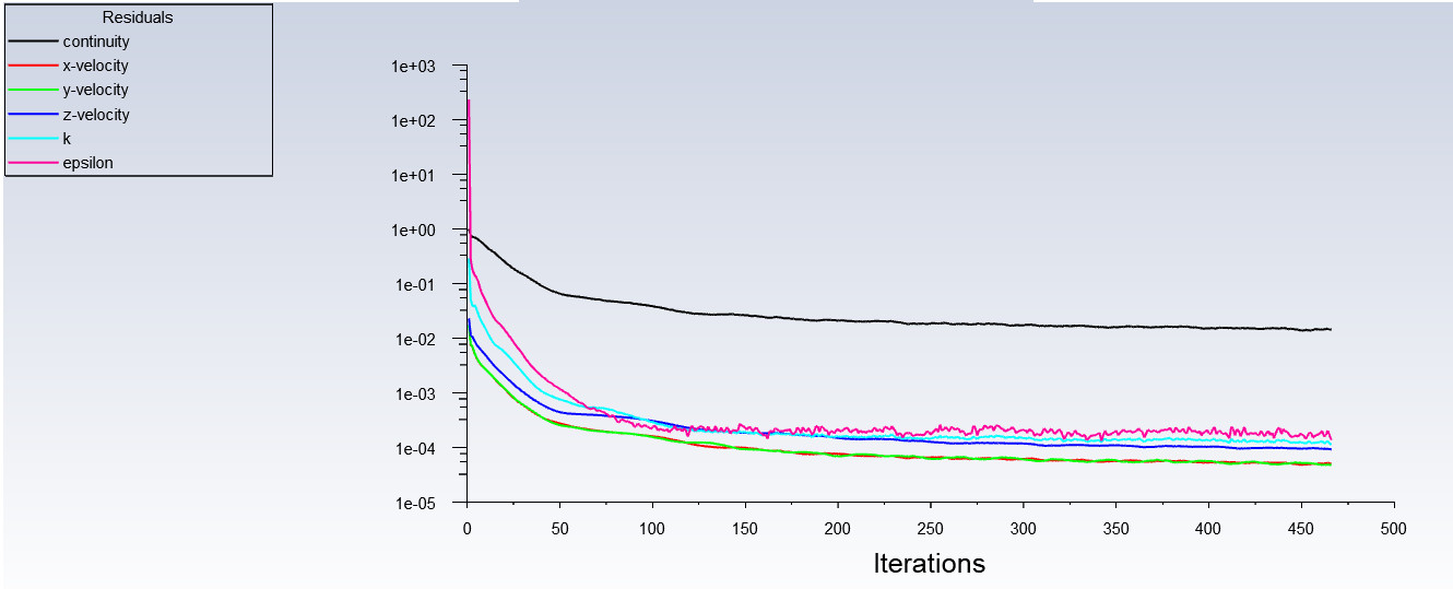
残差未收敛到要求,监测变量已趋于稳定,是否认为已经收敛

[复制链接]
发表于 2023-4-25 23:40:28 | 显示全部楼层 |阅读模式

马上注册,结交更多好友,享用更多功能,让你轻松玩转社区。

您需要 登录 才可以下载或查看,没有账号?注册

x
continuity:0.00001



2023-04-25_233122.jpg
2023-04-25_233136.jpg
发表于 2023-4-27 21:44:58 | 显示全部楼层
我个人判断是在这个网格下收敛了。
什么意思呢?就是首先你得做模型无关性验证,就是你用的这套CFD流程复现了一个公认的文章的内容或者某个实验。(这一步是国内很多地方欠缺的,有些人隐瞒了湍流模型,或者边界层或者啥的,反正自己心里清楚)
其次是网格无关性验证,就是你的这种网格划分方式的计算结果与网格加密之后的计算结果一样(误差小于百分之1)
最后由于你是定常流,如果满足前面2个条件,流场是收敛的(严格来说,在-1以下能量方程在-3以下都可以认为收敛)。如果是非定常流,你还得看前面几个周期是否与这个周期相同。
如果你读的是硕士,这点应该是老师告诉你的。如果你是本科,如果与预期偏差不大,结果也能当作正确的。因为有些内容是在研究生阶段某些课程上学到的。比如网格无关性,有些人拿没有边界层的网格无关性去验证,这是完全错误的,但是可能结果偏差小于百分之10,在工程上是被接受的。至于模型无关性,这就更难了,虽然一般能查到的方法都是多人验证过的,很少有人会做这一步,因为缺少实验数据。

点评

谢谢您的回复  详情 回复 发表于 2023-5-11 20:46
回复 支持 2 反对 0

使用道具 举报

发表于 2023-4-28 08:20:55 | 显示全部楼层
我也是刚用fluent做质量流量分析  因为电脑配置不高,往往等不到残差收敛要求 但是质量流量曲线已趋于稳定  ,也是比较纠结 计算结果是否可以看做收敛了~
 楼主| 发表于 2023-5-11 20:46:23 | 显示全部楼层
老刘的二师兄 发表于 2023-4-27 21:44
我个人判断是在这个网格下收敛了。
什么意思呢?就是首先你得做模型无关性验证,就是你用的这套CFD流程复 ...

谢谢您的回复
您需要登录后才可以回帖 登录 | 注册

本版积分规则

快速回复 返回顶部 返回列表