找回密码
 注册
查看: 3241|回复: 1

非牛顿流体粘度udf求助

[复制链接]
发表于 2020-3-29 12:50:58 | 显示全部楼层 |阅读模式

马上注册,结交更多好友,享用更多功能,让你轻松玩转社区。

您需要 登录 才可以下载或查看,没有账号?注册

x
本帖最后由 1994年的木瓶子 于 2020-3-29 12:50 编辑

我做的模型要模拟热塑状态的金属流动,这里用的流体力学的方法,其中的粘度描述见图,总的来说是由温度和等效应变率决定。开始计算之后一步没跑动就出现了以下错误。我把粘度改成了常数之后模型是可以运行的,说明边界条件设置和网格划分应该是没有问题的,所以想请教大神帮我看看udf哪里写错了。我不是流体科班出身的,流体方面不怎么懂,虚心求教。

粘度由流动应力与应变率得出

粘度由流动应力与应变率得出

流动应力由材料常数和zener-hollomen系数计算

流动应力由材料常数和zener-hollomen系数计算
1585454037(1).jpg

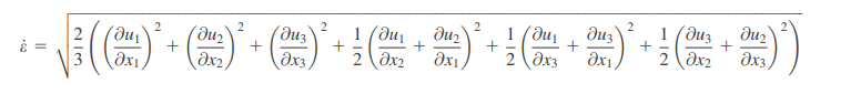
应变率

应变率

错误描述

错误描述
1585456710(1).jpg
发表于 2020-4-9 10:30:26 | 显示全部楼层
建议检查一下sinh的表达式是否正确。
您需要登录后才可以回帖 登录 | 注册

本版积分规则

快速回复 返回顶部 返回列表