找回密码
 注册
查看: 2813|回复: 0

多标量udf编写质量分数的问题

[复制链接]
发表于 2019-4-18 10:05:22 | 显示全部楼层 |阅读模式

马上注册,结交更多好友,享用更多功能,让你轻松玩转社区。

您需要 登录 才可以下载或查看,没有账号?注册

x
本帖最后由 btwanyi 于 2019-4-23 16:12 编辑

各位老师,各位同学,大家好,我最近在编写udf的方程,遇到了一些问题,想要请教大家一下,先谢谢大家了!我的问题如下:
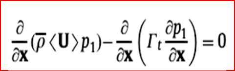
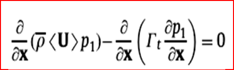
总共要编写3个方程式,这是第一个,其中的P1是一个scalar,这个我知道,它的对流项是默认项,源项是0,只需要编写扩散系数项;但是对于第二个和第三个方程式我就不理解了,它们形式上是一致的。
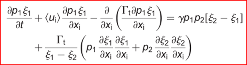
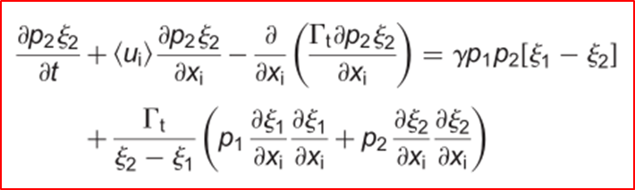
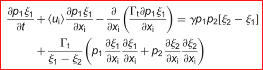
方程式里面ξ1和ξ2也是新的scalar, P2=1-P1;我们是稳态计算,所以第一个不稳定项就不考虑了;我不太懂的是,首先在一个方程里面出现了很多scalar,这个要怎么编写呢?
另外P1是可以用第一个方程求出来的,但是在编写的时候怎么引入到第二个和第三个方程中去呢?
再就是在这两个方程里面,好像是在对流项和扩散项里面scalar变成了P1*ξ1 和 P2*ξ2, 但是在源项里面又出现了 ξ2-ξ1  这样的项,这应该如何处理呢?
方程3.png
方程2.png
方程1.png

方程3

方程3

方程2

方程2

方程1

方程1
您需要登录后才可以回帖 登录 | 注册

本版积分规则

快速回复 返回顶部 返回列表