找回密码
 注册
查看: 1695|回复: 2

udf无法使边界值随着迭代增加

[复制链接]
发表于 2014-1-22 13:38:12 | 显示全部楼层 |阅读模式
50金钱
#include "udf.h"
#define Vg 1.00000e-05
#define H 0.0200000
#define Rg 0.01

DEFINE_PROFILE(density,thread,position)
{
real k,t,a;
cell_t c0;
Thread *t0;
face_t f;
begin_f_loop(f,thread)
{
c0=F_C0(f,thread);
t0 =F_C0_THREAD(f,thread);
t=RP_Get_Real("physical-time-step");
k=Vg*t/(H-Vg*t);
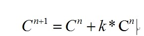
a=C_UDSI_M1(c0,t0,1)+C_UDSI_M1(c0,t0,1)*(1-Rg)*k;
F_PROFILE(f,thread,position)=a;

}
end_f_loop(f,thread)
}

边界条件如下图

[ 本帖最后由 ya634984094 于 2014-1-23 19:08 编辑 ]

QQ图片20140122140131.jpg
 楼主| 发表于 2014-1-22 13:40:22 | 显示全部楼层
能够编译,但是所获得的的边界值一直是初始值
回复

使用道具 举报

 楼主| 发表于 2014-1-23 19:09:32 | 显示全部楼层
已解决
回复

使用道具 举报

您需要登录后才可以回帖 登录 | 注册

本版积分规则

快速回复 返回顶部 返回列表