找回密码
 注册
查看: 4584|回复: 1

DPM中rosin-rammler分布,计算mean diameter与spread parameter的方法?谢谢

[复制链接]
发表于 2013-7-10 15:25:02 | 显示全部楼层 |阅读模式

马上注册,结交更多好友,享用更多功能,让你轻松玩转社区。

您需要 登录 才可以下载或查看,没有账号?注册

x
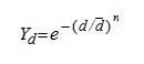
DPM模型中颗粒直径rosin-rammler分布方法,需要输入颗粒的min.diameter、max.diameter、mean diameter和spread parameter。其中min.diameter、max.diameter是已知的,mean diameter和spread parameter需要计算,
我根据帮助文档中的公式(见图),公式中mean diameter为d(上面一横线),spread parameter为n。现在我给出一组颗粒的数据(见图),我自己计算的mean diameter=38.82,spread parameter=2.77,哪位大侠会计算,请帮忙验证一下我计算的是否正确,谢谢。

[ 本帖最后由 yiteng 于 2013-7-10 15:48 编辑 ]
公式.jpg
颗粒直径.png
公式清晰的.png
 楼主| 发表于 2013-7-11 17:07:38 | 显示全部楼层
各位大侠
您需要登录后才可以回帖 登录 | 注册

本版积分规则

快速回复 返回顶部 返回列表