找回密码
 注册
查看: 3935|回复: 2

fluent中dpm模型,使用rosin-rammler描述颗粒粒径的分布情况遇到的问题,谢谢

[复制链接]
发表于 2013-7-10 15:09:07 | 显示全部楼层 |阅读模式

马上注册,结交更多好友,享用更多功能,让你轻松玩转社区。

您需要 登录 才可以下载或查看,没有账号?注册

x
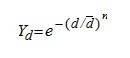
在dpm中使用rosin-rammler描述颗粒粒径的分布情况,在dpm中输入,最大/最小/平均粒径,还有spread parameter。其中最大/最小粒径是已知的,平均直径和spread parameter是根据帮助文档中的公式计算出的(公式见图),在输出结果后,统计颗粒的情况,如图:
显示的颗粒的直径情况跟预计的完全一致,可是颗粒的数量却都是132个(这个数可调,在number of tries),奇怪的是不同粒径颗粒的数量是一样的,跟预计的严重不符,请问这是什么原因?该怎么解决呀?谢谢各位大侠
公式.jpg
粒径.jpg
 楼主| 发表于 2013-7-11 17:06:58 | 显示全部楼层
各位大侠
发表于 2019-1-11 16:02:09 | 显示全部楼层
你好,这个颗粒粒径结果你是怎么输出的啊?
您需要登录后才可以回帖 登录 | 注册

本版积分规则

快速回复 返回顶部 返回列表