找回密码
 注册
查看: 14415|回复: 1

fluent中dpm模型,使用rosin-rammler描述颗粒粒径的分布情况遇到的问题,谢谢

[复制链接]
发表于 2013-7-10 15:06:28 | 显示全部楼层 |阅读模式
10金钱
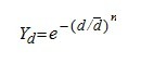
在dpm中使用rosin-rammler描述颗粒粒径的分布情况,在dpm中输入,最大/最小/平均粒径,还有spread parameter。其中最大/最小粒径是已知的,平均直径和spread parameter是根据帮助文档中的公式计算出的(公式见图),在输出结果后,统计颗粒的情况,如图:
显示的颗粒的直径情况跟预计的完全一致,可是颗粒的数量却都是132个(这个数可调,在number of tries),奇怪的是不同粒径颗粒的数量是一样的,跟预计的严重不符,请问这是什么原因?该怎么解决呀?谢谢各位大侠

[ 本帖最后由 yiteng 于 2013-7-10 15:10 编辑 ]

公式.jpg
粒径.jpg
 楼主| 发表于 2013-7-11 17:07:17 | 显示全部楼层
各位大侠
回复

使用道具 举报

您需要登录后才可以回帖 登录 | 注册

本版积分规则

快速回复 返回顶部 返回列表