Home
个人中心
广告服务
使用帮助
关于我们
登录
注册
用户名
Email
自动登录
找回密码
密码
登录
注册
搜索
本版
用户
首页
Portal
前沿
动态
人物
会议
工具
论坛
BBS
家园
Space
好友
帖子
收藏
道具
勋章
任务
淘帖
导读
设置
退出
流体中文网
»
论坛
›
软件学习
›
Fluent论坛
›
关于custom field function的使用
返回列表
查看:
2135
|
回复:
2
关于custom field function的使用
[复制链接]
tanglianhua
tanglianhua
当前离线
积分
28
IP卡
狗仔卡
发表于 2012-6-20 11:10:29
|
显示全部楼层
|
阅读模式
马上注册,结交更多好友,享用更多功能,让你轻松玩转社区。
您需要
登录
才可以下载或查看,没有账号?
注册
x
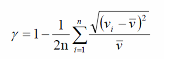
最近在计算一个例子的时候需要用到custom field function,但是总也输不对。不知道是哪里出了错误,请哪位高手给解决一下啊、公式请看附件
回复
使用道具
举报
提升卡
置顶卡
沉默卡
喧嚣卡
变色卡
显身卡
浪子轻狂
浪子轻狂
当前离线
积分
9578
IP卡
狗仔卡
发表于 2012-6-20 14:34:25
|
显示全部楼层
带n的多项和,你也打算用custom field function写?
回复
支持
反对
使用道具
举报
显身卡
tanglianhua
tanglianhua
当前离线
积分
28
IP卡
狗仔卡
楼主
|
发表于 2012-6-20 15:04:34
|
显示全部楼层
不能吗?我现在只知道用这种方法,有别的好建议吗?
回复
支持
反对
使用道具
举报
显身卡
返回列表
高级模式
B
Color
Image
Link
Quote
Code
Smilies
您需要登录后才可以回帖
登录
|
注册
本版积分规则
发表回复
回帖后跳转到最后一页
浏览过的版块
STAR CCM+论坛
流体力学基础
UDF专题讨论区
流体机械论坛
招生招聘
冶金材料仿真论坛
实验技术与设备
LBM
船舶与海洋工程论坛
其它CFD软件论坛
快速回复
返回顶部
返回列表