找回密码
 注册
查看: 2857|回复: 1

求助,关于UDF编写中编写一个差分方程的问题

[复制链接]
发表于 2012-3-31 21:03:48 | 显示全部楼层 |阅读模式

马上注册,结交更多好友,享用更多功能,让你轻松玩转社区。

您需要 登录 才可以下载或查看,没有账号?注册

x

                               
登录/注册后可看大图

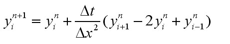
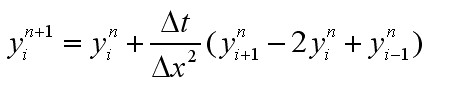
想通过n时刻三个节点(i+1,i,i-1)位置X坐标的运算,得出n+1时刻i节点坐标


1.通过begin_f_loop,和,f_node_loop,得到n时刻,i的坐标,如何同时得到其它两个节点的坐标???
2.公式 中△x(相邻网格的坐标差)如何得到????
先谢谢各位。。

插图如果看不到,上传在附件中了

[ 本帖最后由 youngyoung0917 于 2012-3-31 21:08 编辑 ]
M[`1D%FO50NG]M9]X@(7O_F.jpg
M[`1D%FO50NG]M9]X@(7O_F.jpg
 楼主| 发表于 2012-4-5 09:10:43 | 显示全部楼层
有人知道吗,求解答,自己顶一下
您需要登录后才可以回帖 登录 | 注册

本版积分规则

快速回复 返回顶部 返回列表