找回密码
 注册
查看: 3804|回复: 5

求教关于 muscl 格式

[复制链接]
发表于 2011-8-19 15:07:02 | 显示全部楼层 |阅读模式

马上注册,结交更多好友,享用更多功能,让你轻松玩转社区。

您需要 登录 才可以下载或查看,没有账号?注册

x
LU-SGS,steger-warming通量分裂方法计算可压缩跨音速流动,RANS方程,S-A湍流模型,
采用muscl差分格式,minmod限制器
系数k=1/3
限制器内系数b=1.0时计算没有问题,收敛静压分布大致正确,但是激波分辨率较低,抹平
较多,计算域出口总温偏大(可以认为错误)
限制器内系数b=2.0,b=3.0时计算亚音流场收敛结果很理想,没有上述问题,但计算跨音
速流场一定步数(大概b=1.0的收敛步数的1/4)后发散

文献说b越大时稳定性变差,以上计算发散的可能原因是什么,求教如何解决?

小弟先谢了
发表于 2011-8-25 15:44:53 | 显示全部楼层
我对您的S-A湍流模型求解很感兴趣?不知您可否穿一份程序给我学习一下。adam_dyb@sina.com,谢谢啦
 楼主| 发表于 2011-8-26 11:03:33 | 显示全部楼层

回复 2# dyb1984 的帖子

S-A湍流模型同样采用LU-SGS,steger-warming方法求解,和主方程基本一样,你想了解哪一块?
 楼主| 发表于 2011-8-26 11:06:38 | 显示全部楼层

回复 1# gallonzhu 的帖子

原因找到了,因为不同限制器的可压缩性和耗散性不一样,有的数值粘性太大容易导致发散,得选取合适的限制器及参数
发表于 2011-8-26 14:34:36 | 显示全部楼层
楼主你好,我想了解一下你用的SA湍流模型的Steger-Warming的公式,我用这个公式算的结果只是对涡黏系数的输运,并没有产生湍流,谢谢
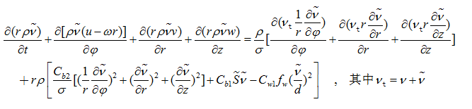
 楼主| 发表于 2011-8-26 16:47:30 | 显示全部楼层
采用的如图相对圆柱坐标系下的改写方程,左边实际上与连续方程形式一样,通量分裂格式就是多乘个涡粘性输运量,右边和动量方程一样处理,有什么问题敬请指出
无标题.png
您需要登录后才可以回帖 登录 | 注册

本版积分规则

快速回复 返回顶部 返回列表