Home
个人中心
广告服务
使用帮助
关于我们
登录
注册
用户名
Email
自动登录
找回密码
密码
登录
注册
搜索
本版
用户
首页
Portal
前沿
动态
人物
会议
工具
论坛
BBS
家园
Space
好友
帖子
收藏
道具
勋章
任务
淘帖
导读
设置
退出
流体中文网
»
论坛
›
软件学习
›
Fluent论坛
›
旋风分离器 网格
1
2
3
/ 3 页
下一页
返回列表
楼主:
kldanzz
旋风分离器 网格
[复制链接]
kldanzz
kldanzz
当前离线
积分
358
IP卡
狗仔卡
楼主
|
发表于 2011-4-1 15:14:47
|
显示全部楼层
对呀。。一开始就是用第二种方法。。下面的尖角就是问题所在。。现在先试试第一种。。
回复
支持
反对
使用道具
举报
显身卡
飞翔鸟
飞翔鸟
当前离线
积分
1976
IP卡
狗仔卡
发表于 2011-4-1 17:39:33
|
显示全部楼层
发个08年做的旋风分离器结果,网格找不到了。
动画,太大了,竟然放部上来。
发几张图片吧。
[
本帖最后由 飞翔鸟 于 2011-4-1 09:49 编辑
]
回复
支持
反对
使用道具
举报
显身卡
2005011lcj
2005011lcj
当前离线
积分
1613
IP卡
狗仔卡
发表于 2011-4-1 21:00:01
|
显示全部楼层
回复 17# 飞翔鸟 的帖子
你的是气液两相?用的欧拉模型?
回复
支持
反对
使用道具
举报
显身卡
kldanzz
kldanzz
当前离线
积分
358
IP卡
狗仔卡
楼主
|
发表于 2011-4-2 08:06:25
|
显示全部楼层
刚跑了一下..DPM model...好像与文献中的有差别。。。
[
本帖最后由 kldanzz 于 2011-4-2 08:23 编辑
]
回复
支持
反对
使用道具
举报
显身卡
2005011lcj
2005011lcj
当前离线
积分
1613
IP卡
狗仔卡
发表于 2011-4-2 09:06:46
|
显示全部楼层
回复 19# kldanzz 的帖子
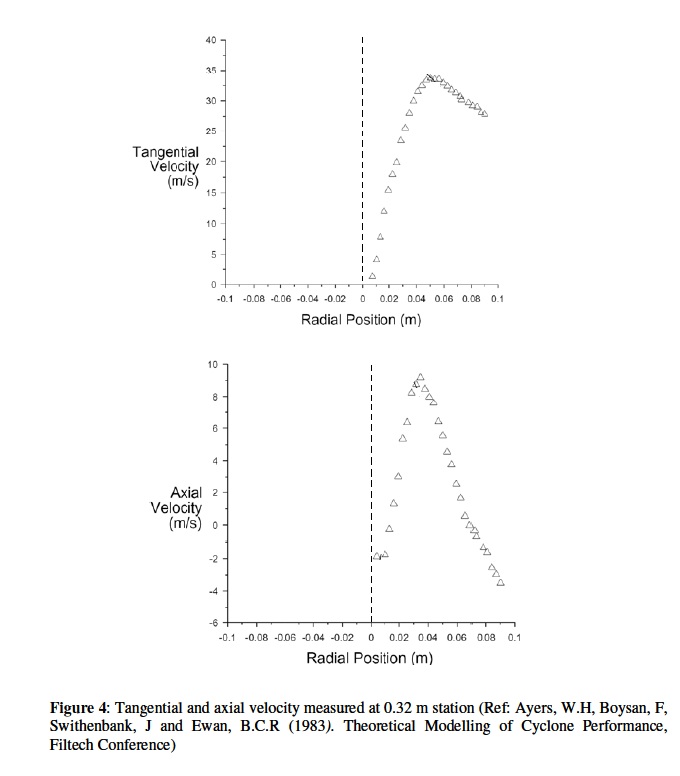
最后一张切向速度,那里怎么会有一条分界线?是不是使用了interface?会造成很大误差的
我算的是这样的
[
本帖最后由 2005011lcj 于 2011-4-2 09:11 编辑
]
回复
支持
反对
使用道具
举报
显身卡
kldanzz
kldanzz
当前离线
积分
358
IP卡
狗仔卡
楼主
|
发表于 2011-4-2 09:16:20
|
显示全部楼层
我也不清楚啊。。是不是网格有问题呢。。还是边界条件错误。。
那个面不是interface啊。。是将上面圆筒和下面的筒 split (connected)
[
本帖最后由 kldanzz 于 2011-4-2 09:20 编辑
]
回复
支持
反对
使用道具
举报
显身卡
2005011lcj
2005011lcj
当前离线
积分
1613
IP卡
狗仔卡
发表于 2011-4-2 09:23:47
|
显示全部楼层
回复 21# kldanzz 的帖子
这样的结果肯定是错的,自己再仔细检查一下吧。
回复
支持
反对
使用道具
举报
显身卡
kldanzz
kldanzz
当前离线
积分
358
IP卡
狗仔卡
楼主
|
发表于 2011-4-2 09:27:15
|
显示全部楼层
回复 22# 2005011lcj 的帖子
是连接体方面错了。。还是什么啊?
回复
支持
反对
使用道具
举报
显身卡
2005011lcj
2005011lcj
当前离线
积分
1613
IP卡
狗仔卡
发表于 2011-4-2 09:30:41
|
显示全部楼层
很有可能是网格的错误,不然不会那么明显的分割线,看看有没有多余的面或者线挡在那里
回复
支持
反对
使用道具
举报
显身卡
kldanzz
kldanzz
当前离线
积分
358
IP卡
狗仔卡
楼主
|
发表于 2011-4-2 09:35:00
|
显示全部楼层
回复 24# 2005011lcj 的帖子
重新建过那个部分了。。。上帝保佑能成功啊!时间越来越少了
回复
支持
反对
使用道具
举报
显身卡
kldanzz
kldanzz
当前离线
积分
358
IP卡
狗仔卡
楼主
|
发表于 2011-4-2 10:17:11
|
显示全部楼层
回复 24# 2005011lcj 的帖子
奇怪了。。。换了网格。。重建。。。还是一样。。。
好像找到问题所在了。。。rotation axis...再跑跑
[
本帖最后由 kldanzz 于 2011-4-2 10:22 编辑
]
回复
支持
反对
使用道具
举报
显身卡
飞翔鸟
飞翔鸟
当前离线
积分
1976
IP卡
狗仔卡
发表于 2011-4-2 11:36:51
|
显示全部楼层
回复 18# 2005011lcj 的帖子
气固两相流,粉尘沉积,用mixture模型也可以。
回复
支持
反对
使用道具
举报
显身卡
kldanzz
kldanzz
当前离线
积分
358
IP卡
狗仔卡
楼主
|
发表于 2011-4-2 12:16:40
|
显示全部楼层
重新算过的
[
本帖最后由 kldanzz 于 2011-4-2 12:27 编辑
]
回复
支持
反对
使用道具
举报
显身卡
kldanzz
kldanzz
当前离线
积分
358
IP卡
狗仔卡
楼主
|
发表于 2011-4-8 08:35:13
|
显示全部楼层
请问2005011lcj大大的能算得这样的数据图吗?
回复
支持
反对
使用道具
举报
显身卡
2005011lcj
2005011lcj
当前离线
积分
1613
IP卡
狗仔卡
发表于 2011-4-8 08:56:56
|
显示全部楼层
回复 29# kldanzz 的帖子
创建一条线,就可以看了切向速度分布了,surface--》line
回复
支持
反对
使用道具
举报
显身卡
下一页 »
1
2
3
/ 3 页
下一页
返回列表
高级模式
B
Color
Image
Link
Quote
Code
Smilies
您需要登录后才可以回帖
登录
|
注册
本版积分规则
发表回复
回帖后跳转到最后一页
浏览过的版块
文献交流区
ESI-CFD论坛
快速回复
返回顶部
返回列表