找回密码
 注册
查看: 3289|回复: 4

【求助】在LBM+sgs中出现的问题

[复制链接]
发表于 2010-11-24 21:18:04 | 显示全部楼层 |阅读模式

马上注册,结交更多好友,享用更多功能,让你轻松玩转社区。

您需要 登录 才可以下载或查看,没有账号?注册

x
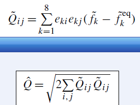
各位好!小弟最近在学LBM+LES,但之前没有做过大涡,(正在大补湍流),此处用到得是smagorinsky 模型,在结合LBM(“Yu H, Girimaji S, Luo L. DNS and LES of decaying isotropic turbulence with and without frame rotation using lattice Boltzmann method.” J Comput Phys 2005;209:599–616.)时有一问题(见图):filtered mean momentum flux ^Q怎么能由两个张量~Q和~Q的并乘然后开根号得到?张量与张量的并乘不是得到一个新张量吗?如果这不是并乘那是什么运算?

[ 本帖最后由 pakchoi1987 于 2010-11-29 17:53 编辑 ]
截图00.png
截图02.png

abbr_6facacda88506c917a02cf40cc1b671e.pdf

1.21 MB, 下载次数: 361

DNS and LES of decaying isotropic turbulence with and without frame rotation using lattice Boltzmann

 楼主| 发表于 2010-11-27 09:29:49 | 显示全部楼层
求指点
 楼主| 发表于 2010-11-29 18:04:00 | 显示全部楼层
我算出的Qij为对称张量,直观上是2×2数阵形式。故用ij遍历求积开根号求解,但结果不对。求帮助!



继续等。。。。

[ 本帖最后由 pakchoi1987 于 2010-12-11 15:13 编辑 ]
发表于 2011-10-9 10:32:27 | 显示全部楼层
楼主大哥问题解决没有?小弟也有相同的疑问啊,要是解决了给小弟讲讲好吗,都搞了好久了,纠结啊~
发表于 2011-10-11 09:32:30 | 显示全部楼层
Pakchoi1987:

You said you compute the quantity but it was wrong. What's wrong?

-- LSL
您需要登录后才可以回帖 登录 | 注册

本版积分规则

快速回复 返回顶部 返回列表