找回密码
 注册
查看: 3963|回复: 2

对流项离散格式的稳定性探讨

[复制链接]
发表于 2010-6-1 20:12:14 | 显示全部楼层 |阅读模式

马上注册,结交更多好友,享用更多功能,让你轻松玩转社区。

您需要 登录 才可以下载或查看,没有账号?注册

x
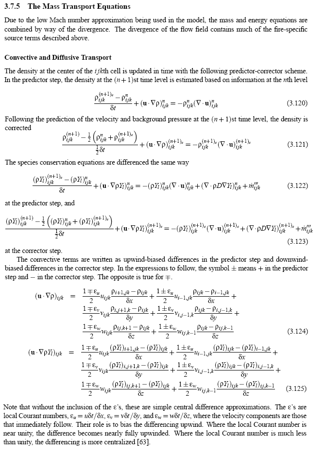
在我之前发的那个帖子(二维矩形管道流动自编程序探讨)中提到的对流项离散格式是通过下面附件的离散方法得到的。
    整个过程是这样的,附件中所示的对流项及扩散项的离散方法是一个开源程序中计算组分、密度等变量时使用的。现在在对源程序的修改过程中加入湍流模型时老师建议湍流方程的对流项和扩散项应采用和组分、密度方程离散一致的离散方法来保证兼容性。
    但是经过较长时间的调试,发现计算过程中由这种对流项的离散格式计算出来的对流项总是偏大而出错,所以我想请各位能否判断下该格式的稳定性如何?
    同时我查看资料也注意到在处理时需要加入限制器(Limiter)来保证在梯度过大时来保证求解的正确性,所以如果不行那么有什么改进方法?是不是需要添加限制器来改进结果

谢谢了。
对流项的离散.JPG
发表于 2010-6-11 15:32:46 | 显示全部楼层

回复 1# xiaojun218 的帖子

发表于 2010-6-12 11:36:47 | 显示全部楼层
牛啊
您需要登录后才可以回帖 登录 | 注册

本版积分规则

快速回复 返回顶部 返回列表