找回密码
 注册
查看: 4259|回复: 1

问一个自由能D2Q9模型的问题?

[复制链接]
发表于 2010-3-13 22:41:20 | 显示全部楼层 |阅读模式

马上注册,结交更多好友,享用更多功能,让你轻松玩转社区。

您需要 登录 才可以下载或查看,没有账号?注册

x
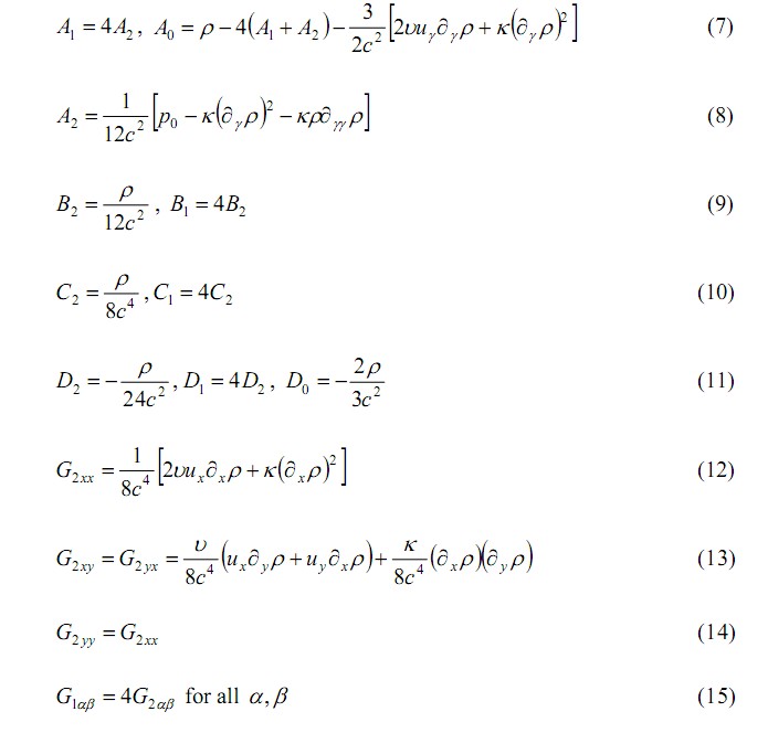
在2004年A.J.Briant的
Lattice Boltzmann simulations of contact line motion. I. Liquid-gas systems
这篇文章中附录A给出了D2Q9Free-nergy模型的系数,但是系数A2中,那p0是前面的那个压力张量中的p0吗?如果是这样的话,系数中好像并没有体现出密度的二阶导数项。
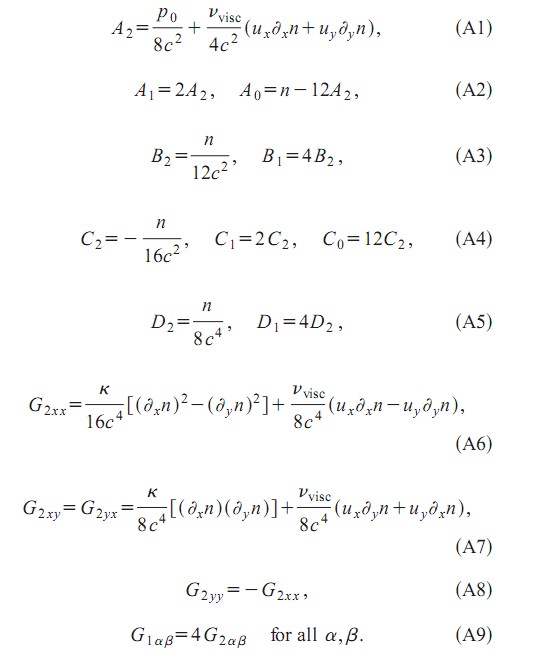
另外在另一篇2008年的文章中看到另外一个D2Q9的模型,这两个模型相差很大,系数的常量因素都不相同,很疑惑?能否推荐几篇自由能D2Q9的模型的文章看一下

另外求一篇文章:An Improved Hydrodynamics Formulation for Multiphase Flow Lattice-Boltzmann  Models。这篇文章找了好久,都没有找到能下的,那位师兄有的话能否发给我一份,不甚感激!(syrobot@gmail.com)

[ 本帖最后由 syrobot 于 2010-3-13 14:42 编辑 ]

2004文章给出的模型系数

2004文章给出的模型系数

另外一篇文章给出的系数

另外一篇文章给出的系数
 楼主| 发表于 2010-3-14 18:56:23 | 显示全部楼层

回复 1# syrobot 的帖子

没人回答,自己顶一下
您需要登录后才可以回帖 登录 | 注册

本版积分规则

快速回复 返回顶部 返回列表