找回密码
 注册
查看: 7916|回复: 30

一篇关于理论流体的论答

[复制链接]
发表于 2009-8-25 11:10:53 | 显示全部楼层 |阅读模式

马上注册,结交更多好友,享用更多功能,让你轻松玩转社区。

您需要 登录 才可以下载或查看,没有账号?注册

x
曾经的澎湃也化作如今的无奈,暮然回首,才发觉搞科学真的是需要申领准生证的,在即将告别我心中的梦想之际,诚以此篇论答聊作纪念,原天下有缘人共赏之。
    在此,感谢那位不知名的人士!!!!!
    这是本人于一位莫名的流体人士关于理论流体基础知识的论答,经过本人整理后上传给大家看看,相当基础,有兴趣的朋友一定要打起十二分的精神才能继续看下去,看完之后你会有收获的。本想贴成图片给大家看的,但是一直上传不了图片(格式什么都没问题),只好把word文档压缩后传给大家看看。

[ 本帖最后由 梅羡仙 于 2009-8-26 09:41 编辑 ]
1.jpg

论答.rar

33.77 KB, 下载次数: 316

发表于 2009-8-25 16:20:55 | 显示全部楼层
其实,你把科学研究想得太简单。

有三个概念你没有懂,1,传统流体理论的流体微团概念,2,相似理论,3,极限。你单凭直观感觉来谈问题,自认为看到问题的核心。其实不然。你的方法我大致理解是动量交换的思想,其实早在牛顿时候就用过,当时在无粘流和高超声速钝体绕流曾获得过在当时意义下的成功,现在基本上过时了,不要告诉我你这个多先进多么惊天动地。

另外,看到你很多在论坛上寻求资助的,资助是一种投资,你几句空话能否让人去投资?最起码你有理论基础的论证,过程的严密推导,大量结果的数值实验验证等等,确实能有信服的说明才行,不可能随便说说人家就信。比如我告诉你给我两万明年我给你三万,你会不会干呢?
 楼主| 发表于 2009-8-25 17:51:47 | 显示全部楼层
科学不简单也没有你说的那么复杂,其实追到根处,你们无法接受原因在于前人给你们画了一个圈,你们所有的突破就都只能在这个圈内进行。不能说你们不理解,只能说你们不敢突破,就如同老师告诉你地球是方的,你如果反对那你就会没饭吃,你说的那三个概念我不知道是谁定义的,我不可能去找死人理论,你如果觉得不对你可以把对的贴出来,可别是书上的原话复制粘贴一下哦。
   我不敢说我的就是对的,但那几个致命伤是你们的理论永远也不可能自己突破的。当然除非你是那种时空幻想家。
发表于 2009-8-25 21:00:52 | 显示全部楼层
好吧,是我们迂腐。

你拿什么证明你是对的?
发表于 2009-8-25 21:07:35 | 显示全部楼层
原帖由 梅羡仙 于 2009-8-25 17:51 发表
科学不简单也没有你说的那么复杂,其实追到根处,你们无法接受原因在于前人给你们画了一个圈,你们所有的突破就都只能在这个圈内进行。不能说你们不理解,只能说你们不敢突破,就如同老师告诉你地球是方的,你如果反 ...


别的不说,就说相似性理论,首先你没有一个定义,也没有严格说明在什么样的条件之下是相似的,也没有列出三五个经典的例子说明你的结果是对的。

相反我们见到的相似理论,有严密的推导过程,有海量的例子和实验验证是正确的,人们相互验证实验,没有必要完全别人的设置进行,但只要他们的实验是满足相似性原理,无量纲参数是相同的,那他们得出的结果将是相同的,所以人们都相信。并不是左右比划一番,和讲政治课一样,说出来人们就相信。那不可能的。
 楼主| 发表于 2009-8-25 22:33:36 | 显示全部楼层
完整的相似性理论我好还没有总结出来,但有一点是肯定的,
第一是物质运动过程相似是受力相似的必要条件,反之不成立。
第二是运动状态相似是受力相似的充分条件,反之不成立。
    就那个摩擦力来说,第一个微团从与平板接触到最后脱离平板的过程,与排列在它前面的第二个微团与平板接触到最后脱离的过程是一样,那么我们就可以认为它们的受力是相似的,至于粘性相似弹性相似、连续性、雷诺数等等都只是这个过程的变化,它们不再成为判定这个过程相似的必要条件。
    至于第二点就是判定各种现象相似的必备条件了。比如,磁铁同极对峙的时候的受力和周围磁力线的分布情况,是一种磁性力学运动的存在状态,而两根相同的管道对流,引起的周围流场的变化状况,是一种牛顿力学运动的存在状态,这两种状态在引起周围物质的受力变化上是相似的,那么我们就认为这两种状态相似。
发表于 2009-8-26 00:07:18 | 显示全部楼层
原帖由 梅羡仙 于 2009-8-25 22:33 发表
完整的相似性理论我好还没有总结出来,但有一点是肯定的,
第一是物质运动过程相似是受力相似的必要条件,反之不成立。
第二是运动状态相似是受力相似的充分条件,反之不成立。
    就那个摩擦力来说,第一个微团 ...


你这两句话就是你的证明和严密的推导了?一个认为你是理论基础的东西你这样一下就算收工了?
 楼主| 发表于 2009-8-26 07:03:04 | 显示全部楼层
上面两点可以看着是广义相似,也就是受力相似必须满足过程相似,而状态相似必须满足受力相似。
    现行相似理论可以看着是狭义相似(但不完整)。
    要想找到受力相似,核心是要找到变化相似,
    仍拿上面的摩擦力说,我们用水和气作比较,水的第一个微团从与平板接触到脱离的过程,与气的第一个微团从与平板接触到脱离的过程,看似相似,但他们的过程变化是完全不一样的,那我们就不能说他们相似。
    回到第二点,仍以上面的例子说话,磁场引起的受力变化与流场引起的受力变化也不是绝对任何情况都相似的,必须是在时空坐标系内,任意位置的变化都是一样,我们才能说这两种现象的受力相似,也即状态相似。
    现行相似理论想要说明的无非是改变介子或改变物体后的相似(温度的变化也可以看着是介子的变化),是过程相似与状态相似的错位结合,它有时对有时又错,原因很简单,一个是充分条件,一个是必要条件。
    粘性力之比、弹性力之比、雷诺数、连续性等都只能归纳为判定状态相似的条件。但这四个条件在都还不完备,缺的是微团自转离心力之比,而粘性力之比更需要实验来判定牛顿内摩擦力在不同速度下的变化情况,因为内摩擦力的变化肯定不会是线性变化。判定过程相似,需要的只是单位时间内各种参数的变化量,即速度变化率之比、温度变化率之比。需要注意的是,这的变化率指的都是流体的变化率。

[ 本帖最后由 梅羡仙 于 2009-8-26 03:08 编辑 ]
发表于 2009-8-27 16:04:06 | 显示全部楼层
这些都是堆空话,废话。明天你又可以可以改种说法,怎么说你都觉得有理,但肯定都没有人信,你眼中的科学难道就是这种假大空的废话?
发表于 2009-8-27 21:14:08 | 显示全部楼层
老兄想当然的地方太多
 楼主| 发表于 2009-8-27 22:52:02 | 显示全部楼层
你无非就是想我用数学公式来界定相似定律,本来我已经放弃搞研究了的,但你这么说,那你等几天,看我总结给你看。
发表于 2009-8-28 07:46:00 | 显示全部楼层
不是我要看,你说你建立在一个自己都没办法说清楚的所谓的理论上,放到哪儿都没用。
当然需要证明是正确的,否则有什么用呢
 楼主| 发表于 2009-9-3 12:38:43 | 显示全部楼层
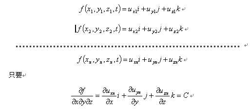
第一类相似

集体运动与个体运动的相似
对于具有一定性状、尺度的客观世界物体,在一定时空内的运动方式包括移动和转动,存在状态包括连续和断续。打个比方,一个小圆球在小的范围内的运动方式的改变,只表现为个体性状特征的变化,属于一定性状特征基础上的个体运动,但在大的范围内来看,宇宙中具有与小球相同性状、尺度的物体无数,当这些小球都做着改变自身性状特征的变化时,即为集体运动。个体不间断的分布为连续,间断分布为断续,单一个体为特殊断续。
对于集体运动,只要确定相似尺度(即小球尺度),对外运动特征的变化也仅仅只是移动和转动的合集。对于个体运动,如果缩小相似尺度,对内运动特征的变化也可以看着是无数更小微粒移动和转动的合集。
客观世界的物体,没有最小相似尺度,也没有最大相似尺度。

移动相似准则

[ 本帖最后由 梅羡仙 于 2009-9-3 04:39 编辑 ]
11.jpg
 楼主| 发表于 2009-9-3 12:42:25 | 显示全部楼层
即认为质点之间存在移动相似。

转动相似准则
我想了想,用数学公式的方法来表达太复杂,不如用几何图形法来表达直观,即只要满足一定时间内(这个时间可以很短,如△t),各质点间温度无变化,速度分布如图,即可将孤立的个体运动等视为整体在这段时间内所作的圆周运动。
由于圆周运动的速度分布有如下四种情况,则集群质点的运动只要满足其中一种情况即认为相似,条件是变化线连续可导。
22.jpg
 楼主| 发表于 2009-9-3 12:44:01 | 显示全部楼层
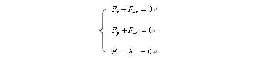
内力相似准则
内力的特征为对外合力为0。放到坐标系内,即
33.jpg
您需要登录后才可以回帖 登录 | 注册

本版积分规则

快速回复 返回顶部 返回列表