Home
个人中心
广告服务
使用帮助
关于我们
登录
注册
用户名
Email
自动登录
找回密码
密码
登录
注册
搜索
本版
用户
首页
Portal
前沿
动态
人物
会议
工具
论坛
BBS
家园
Space
好友
帖子
收藏
道具
勋章
任务
淘帖
导读
设置
退出
流体中文网
»
论坛
›
软件学习
›
Fluent论坛
›
DPM模型
返回列表
查看:
1578
|
回复:
0
DPM模型
[复制链接]
keith08
keith08
当前离线
积分
566
IP卡
狗仔卡
发表于 2017-4-21 18:42:51
|
显示全部楼层
|
阅读模式
马上注册,结交更多好友,享用更多功能,让你轻松玩转社区。
您需要
登录
才可以下载或查看,没有账号?
注册
x
本人在用fluent中的DPM模型模拟空气和水滴流过圆柱体的运动,连续相为空气,水滴为离散相,目的是得到水滴流过圆柱的轨迹,如下图。
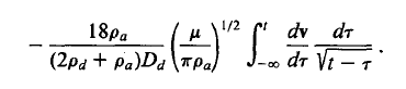
最近某篇文献提到说 Stokes数小于某定值时,需要考虑non-steady drag terms,同时给出了附加项。
请问DPM模型中可以添加这个吗?
因为我模拟的是定常流动,怎么添加这个非定常项,另外附加项积分那里实在是看不懂,求大神帮忙!
回复
使用道具
举报
提升卡
置顶卡
沉默卡
喧嚣卡
变色卡
显身卡
返回列表
高级模式
B
Color
Image
Link
Quote
Code
Smilies
您需要登录后才可以回帖
登录
|
注册
本版积分规则
发表回复
回帖后跳转到最后一页
浏览过的版块
ANSYS论坛
CFD实战技术
CFD基础理论
能源与动力论坛
快速回复
返回顶部
返回列表