找回密码
 注册
查看: 1596|回复: 2

第一次发帖望高人指点(关于uds的问题)

[复制链接]
发表于 2016-11-5 17:13:22 | 显示全部楼层 |阅读模式

马上注册,结交更多好友,享用更多功能,让你轻松玩转社区。

您需要 登录 才可以下载或查看,没有账号?注册

x
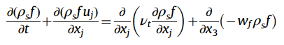
本帖最后由 0liver 于 2016-11-5 18:47 编辑

单方程.png


想使用UDS编入如图所示的方程;,不知道对不对,望高人指点一下
1、对流项保持默认设置
对流.png

2、扩散项=湍流粘性系数x空气密度1.225
DEFINE_DIFFUSIVITY(mean_age_diff,c,t,i)
{
    return C_MU_T(c,t)*1.225;
}

3、源项
DEFINE_SOURCE(uds_source,c,t,dS,eqn)
{
        real x[ND_ND];
        real source;
        C_CENTROID(x,c,t);
        source=-1.225*Wf*C_UDSI_G(c,t,0)[1];
        return source;
}




发表于 2016-11-15 16:13:37 | 显示全部楼层
你这个是求积雪的吗?很眼熟
密度是不是应该不是空气密度
您需要登录后才可以回帖 登录 | 注册

本版积分规则

快速回复 返回顶部 返回列表