找回密码
 注册
查看: 8768|回复: 17

一圆转动,一圆不动,引发出的粘滞性问题(来自美国,有华南理工的朋友的帮助)

[复制链接]
发表于 2015-12-14 21:42:43 | 显示全部楼层 |阅读模式

马上注册,结交更多好友,享用更多功能,让你轻松玩转社区。

您需要 登录 才可以下载或查看,没有账号?注册

x
尽管,有华南理工朋友的帮助,还有3个细节问题不懂,很大程度上,有点数学性


_________________________
说明:
第一幅:示图
第2,3幅:分析以及质疑,也就是三个问题
第4,5幅:Vθ~R的定性图
截图19.jpg
3333.jpg
4444.jpg
1111.jpg
2222.jpg
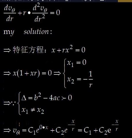
 楼主| 发表于 2015-12-14 21:47:03 | 显示全部楼层
以下是,我对偏微分方程的解答
(解答偏微分方程,是可以套用公式的~~~~嗯*根据不同形式,套用不同公式!而且自认为,我木有套错)

5555.jpg

点评

你的第一关问题是基于牛顿内摩擦力公式出发的。我建议还是从实验出发比较可信。如果要是我来给你分析的话,可能很多人会出来指责我离经叛道,所以我闭口。  详情 回复 发表于 2015-12-16 10:58
发表于 2015-12-15 07:07:32 | 显示全部楼层
我上课用的一个例题哦

点评

请看主楼!速度曲线,为啥一个是【凹】曲线?另一个,是【凸】曲线?  发表于 2015-12-16 13:38
我觉得是一个非常正常的问题。对于精确解,不存在困难。线性假定,更是直接就写出结果。然后无论是哪个圆柱动,如何动,都可以把解析解写出来。我不太清楚你的问题在哪里?  详情 回复 发表于 2015-12-15 11:55
美国教材里看到的,然后,她没有说明这个,凹凸的情况!至于中国的教材,我看过那么几本,但没看到这个~~~~稍稍可能有点偏  发表于 2015-12-15 11:34
发表于 2015-12-15 11:55:38 | 显示全部楼层
onesupeng 发表于 2015-12-15 09:07
我上课用的一个例题哦

我觉得是一个非常正常的问题。对于精确解,不存在困难。线性假定,更是直接就写出结果。然后无论是哪个圆柱动,如何动,都可以把解析解写出来。我不太清楚你的问题在哪里?
发表于 2015-12-16 10:58:58 | 显示全部楼层
dodonaomik 发表于 2015-12-14 21:47
以下是,我对偏微分方程的解答
(解答偏微分方程,是可以套用公式的~~~~嗯*根据不同形式,套用不同公式! ...

你的第一关问题是基于牛顿内摩擦力公式出发的。我建议还是从实验出发比较可信。如果要是我来给你分析的话,可能很多人会出来指责我离经叛道,所以我闭口。
 楼主| 发表于 2015-12-16 12:45:03 | 显示全部楼层
onesupeng 发表于 2015-12-15 11:55
我觉得是一个非常正常的问题。对于精确解,不存在困难。线性假定,更是直接就写出结果。然后无论是哪个圆 ...

您好!

我在图片里,提了三个问题

1,  这个柱坐标系下的 Navier-Stokes方程,是怎么得来的?


2,   怎么解答这个偏微分方程?

3,怎么赋值,进而画出定性图(或者说,定性线)?

_______________________________________________________________
当时,
我和华南理工的物理大牛交流的时候,
确切的说,是,我向他请教的时候,
他就给予了我极大帮助,
然后,我觉得:eh~~~~我基本上,弄懂了嗨!


今日,再细细一思量,哎哟妈呀,好多细节问题【见上面的三个问题】,不懂呢!所以,我就提出来了
我想:要么,就不要去触及问题,
要么,那问题彻底搞懂!

点评

第一个问题 问你的流体力学老师 第二个问题 问你的数理方程老师 第三个问题 问你师兄 最好别扯大牛,这个不需要大牛,免得玷污大牛的名声。学过流体力学不会的,自己面壁几天,然后打开吴望一流体力学第三章中  详情 回复 发表于 2015-12-17 06:21
 楼主| 发表于 2015-12-16 13:01:38 | 显示全部楼层
我百度了一哈,【柱坐标NS方程】

但是,看了好几条资料

也看不到,说的明朗一点、清爽一点、直白一点的,



结果,看了=白看
截图03.jpg
 楼主| 发表于 2015-12-16 13:30:37 | 显示全部楼层
wiki里,这个资料比较接近啦!
但是,到目前,还没有寻觅到特别好的资料
【而,哪位环南理工的朋友,已经飞赴美国去深造啦1hehe~~~牛人应该去牛的地方!】
截图04.jpg
发表于 2015-12-17 06:21:51 | 显示全部楼层
dodonaomik 发表于 2015-12-16 14:45
您好!

我在图片里,提了三个问题


第一个问题 问你的流体力学老师
第二个问题 问你的数理方程老师
第三个问题 问你师兄

最好别扯大牛,这个不需要大牛,免得玷污大牛的名声。学过流体力学不会的,自己面壁几天,然后打开吴望一流体力学第三章中“流体力学基本方程”这一小节,看到各种坐标系下的N-S方程,第九章中的“精确解”小节教你怎么求解同心旋转圆柱。有解析解、参数不能画图的,最好趁早改行!

发表于 2015-12-17 06:36:46 | 显示全部楼层
我言语比较犀利,不要难过阿

其实有的问题很简单,无需要搬出欧美阿、大牛阿什么的,一本普通教材很多时候都有。同心圆柱这个,是测量流体粘性最常用的方法之一

发表于 2015-12-21 09:46:18 | 显示全部楼层



这道题是简单的变系数微分方程,应该用欧拉方法来解吧
发表于 2015-12-28 14:42:45 | 显示全部楼层
dodonaomik 发表于 2015-12-14 21:47
以下是,我对偏微分方程的解答
(解答偏微分方程,是可以套用公式的~~~~嗯*根据不同形式,套用不同公式! ...

1、你这个通解里x哪来的,原方程里有x的事吗?
2、把你自己的通解和主楼的分别带回去,看看哪个对?
3、公式确实不是没套错。两次用分离变量直接就解了,怎么还拿出特征方程了?
 楼主| 发表于 2015-12-30 17:31:30 | 显示全部楼层
宇航战斗机 发表于 2015-12-28 14:42
1、你这个通解里x哪来的,原方程里有x的事吗?
2、把你自己的通解和主楼的分别带回去,看看哪个对?
3 ...

我争取   在  2016年,有办法的话,把这个问题彻底搞懂!


因为,  2015年终归是没有几天啦

关于方程的求解,我早小木虫
另外发帖啦!当然,很可惜,没有召来  很强有力的直接kill   problem的回复!
但我仍会,坚持不懈!

_______________________________
http://emuch.net/bbs/viewthread.php?tid=9775775


截图04.jpg
 楼主| 发表于 2015-12-30 18:04:02 | 显示全部楼层
本帖最后由 dodonaomik 于 2015-12-30 18:05 编辑

近期思考:SCUT的朋友
尽管高出的答案是正确的

但问题在于,这个答案怎么搞出来的·?


some profiles
可以见

北京大学的资料  以及日本《流体力学》一书
具体详情 please点击上楼提供的小木虫的网址

 楼主| 发表于 2016-1-4 18:14:36 | 显示全部楼层
一个基础的要死的方程,解决掉

唉~~~~掌握的不好,真是愚笨至极,实际上,解答是何等接单的一件事
111.jpg
啊A.jpg
截图10.jpg
您需要登录后才可以回帖 登录 | 注册

本版积分规则

快速回复 返回顶部 返回列表