Home
个人中心
广告服务
使用帮助
关于我们
登录
注册
用户名
Email
自动登录
找回密码
密码
登录
注册
搜索
本版
用户
首页
Portal
前沿
动态
人物
会议
工具
论坛
BBS
家园
Space
好友
帖子
收藏
道具
勋章
任务
淘帖
导读
设置
退出
流体中文网
»
论坛
›
推荐论坛
›
正本清源
›
下面这个推导过程哪里出现问题了
返回列表
查看:
2507
|
回复:
1
下面这个推导过程哪里出现问题了
[复制链接]
suilittlehui
suilittlehui
当前离线
积分
406
IP卡
狗仔卡
发表于 2014-12-12 21:19:39
|
显示全部楼层
|
阅读模式
马上注册,结交更多好友,享用更多功能,让你轻松玩转社区。
您需要
登录
才可以下载或查看,没有账号?
注册
x
本帖最后由 suilittlehui 于 2014-12-12 21:26 编辑
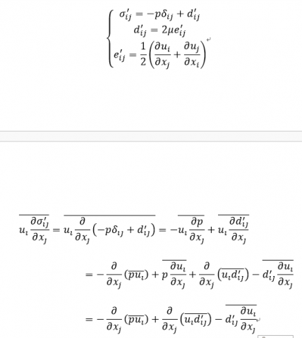
这个推导过程出现什么问题了
第一个是条件,字符右上角带“'”的表示脉动,小写的“u”和"p"表示脉动速度和脉动压力
回复
使用道具
举报
提升卡
置顶卡
沉默卡
喧嚣卡
变色卡
显身卡
周华
周华
当前离线
积分
197692
IP卡
狗仔卡
发表于 2014-12-14 20:25:12
|
显示全部楼层
第二个公式采用求和约定了吗?这类推导的关键就是要注意脉动量的时均值等于零。
回复
支持
反对
使用道具
举报
显身卡
返回列表
高级模式
B
Color
Image
Link
Quote
Code
Smilies
您需要登录后才可以回帖
登录
|
注册
本版积分规则
发表回复
回帖后跳转到最后一页
浏览过的版块
流体力学基础
前后处理软件论坛
OpenFOAM
FLUENT藏经阁
流体机械论坛
ANSYS论坛
CFD可信度开放式专题研究活动
GridPro论坛
NUMECA论坛
快速回复
返回顶部
返回列表