Home
个人中心
广告服务
使用帮助
关于我们
登录
注册
用户名
Email
自动登录
找回密码
密码
登录
注册
搜索
本版
用户
首页
Portal
前沿
动态
人物
会议
工具
论坛
BBS
家园
Space
好友
帖子
收藏
道具
勋章
任务
淘帖
导读
设置
退出
流体中文网
»
论坛
›
软件学习
›
Fluent论坛
›
UDF专题讨论区
›
【求助】这种次相体积分数方程该用什么多相流模型?
返回列表
查看:
1799
|
回复:
0
【求助】这种次相体积分数方程该用什么多相流模型?
[复制链接]
清江烟雨
清江烟雨
当前离线
积分
78
IP卡
狗仔卡
发表于 2014-11-12 22:12:15
|
显示全部楼层
|
阅读模式
马上注册,结交更多好友,享用更多功能,让你轻松玩转社区。
您需要
登录
才可以下载或查看,没有账号?
注册
x
本帖最后由 清江烟雨 于 2014-11-12 22:16 编辑
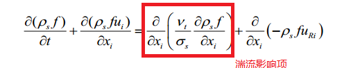
我在做一个气固两相流的数值模拟,次相体积分数控制方程如图1,但是Fluent提供的VOF、Mixture和Euler这三种多相流模型中次相的体积分数方程都没有图1等式右边的湍流影响项(扩散项),这种情况该怎么办呢?编UDF都不知道用哪个宏啊! 希望各位前辈赐教!不甚感激!
图2
图1
回复
使用道具
举报
提升卡
置顶卡
沉默卡
喧嚣卡
变色卡
显身卡
返回列表
高级模式
B
Color
Image
Link
Quote
Code
Smilies
您需要登录后才可以回帖
登录
|
注册
本版积分规则
发表回复
回帖后跳转到最后一页
浏览过的版块
流体力学基础
计算机技术
多相流论坛
Fluent论坛
ANSYS论坛
ICEMCFD论坛
CFD基础理论
燃烧论坛
CFD实战技术
FLUENT深水区
快速回复
返回顶部
返回列表