找回密码
 注册
查看: 2406|回复: 1

【求助】怎样给多相流Mixture模型控制方程添加扩散项?

[复制链接]
发表于 2014-11-9 21:17:06 | 显示全部楼层 |阅读模式

马上注册,结交更多好友,享用更多功能,让你轻松玩转社区。

您需要 登录 才可以下载或查看,没有账号?注册

x
本帖最后由 清江烟雨 于 2014-11-9 21:57 编辑

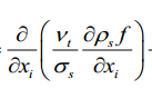
我最近在做风雪流的数值模拟,雪相体积分数控制方程选用Mixture模型,但要做一些修改。Mixture模型的次相(p)体积分数控制方程如图1所示,我想在方程的右侧加入图2所示的扩散项,UDF编程时该使用什么宏呢?打算用定义源项Define_source宏,但我要加的这一项不是源项,似乎不太行。希望高人指点,多谢各位了!
图1.png
图1.Mixture模型次相控制方程

图2.png
图2.需要添加的扩散项



 楼主| 发表于 2014-11-10 21:52:58 | 显示全部楼层
求指导
您需要登录后才可以回帖 登录 | 注册

本版积分规则

快速回复 返回顶部 返回列表