Home
个人中心
广告服务
使用帮助
关于我们
登录
注册
用户名
Email
自动登录
找回密码
密码
登录
注册
搜索
本版
用户
首页
Portal
前沿
动态
人物
会议
工具
论坛
BBS
家园
Space
好友
帖子
收藏
道具
勋章
任务
淘帖
导读
设置
退出
流体中文网
»
论坛
›
软件学习
›
Fluent论坛
›
UDF专题讨论区
›
求助 UDS计算问题
返回列表
查看:
1724
|
回复:
0
求助 UDS计算问题
[复制链接]
葡萄的苹果
葡萄的苹果
当前离线
积分
118
IP卡
狗仔卡
发表于 2012-9-27 20:46:53
|
显示全部楼层
|
阅读模式
马上注册,结交更多好友,享用更多功能,让你轻松玩转社区。
您需要
登录
才可以下载或查看,没有账号?
注册
x
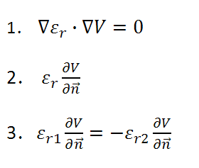
问题是要解计算区域中的V,V在计算区域中满足(附件中方程1)。计算区域有不同的介质构成,不同的介质有不同的参数ε_r,在不同介质的交界处,V 满足(方程2)在两个方向上相等,也就是说,在介质1和2的相交处,满足(方程3)。在计算区域的边界处,V的值已知。这样的问题,用UDF 怎么解呢?可以用UDS吗,还是得自己编程?谢谢。
回复
使用道具
举报
提升卡
置顶卡
沉默卡
喧嚣卡
变色卡
显身卡
返回列表
高级模式
B
Color
Image
Link
Quote
Code
Smilies
您需要登录后才可以回帖
登录
|
注册
本版积分规则
发表回复
回帖后跳转到最后一页
浏览过的版块
NUMECA论坛
湍流理论
CFD实战技术
CFD基础理论
流体力学基础
快速回复
返回顶部
返回列表