|
|

楼主 |
发表于 2012-9-12 18:29:19
|
显示全部楼层
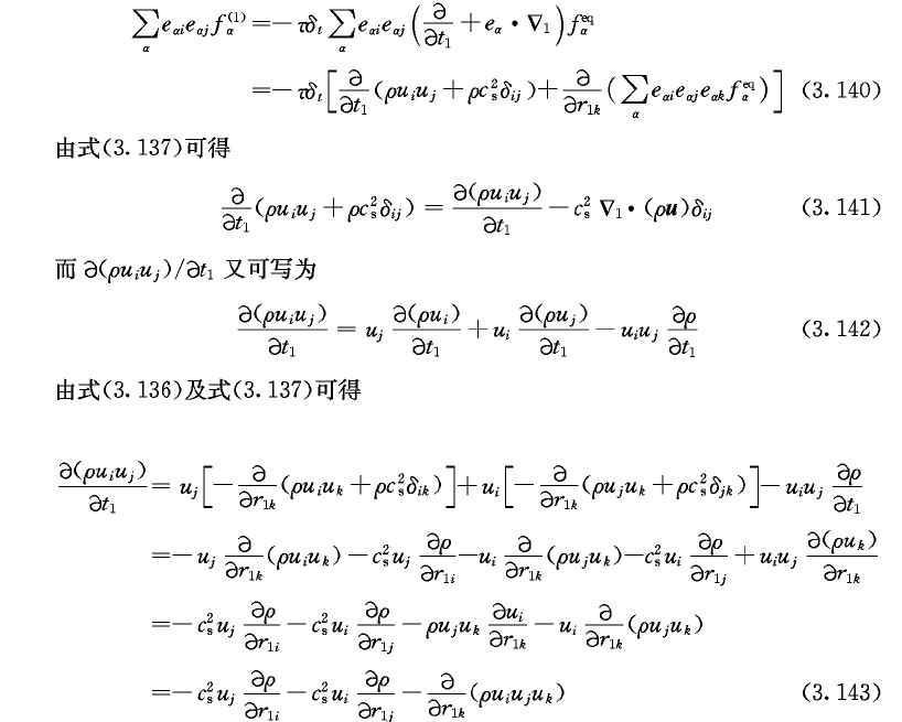
有人推荐了一篇文献,解决了我不少感觉模糊的问题,但在粘性项的推导还是推不下去。这篇文献是Timm Krüger, Fathollah Varnik, Dierk Raabe. Shear stress in lattice Boltzmann simulations. google学术可下到。
我把我推导困惑的地方贴成附件,请大伙帮忙看看,非常感谢。公式(19)是那篇文献里的公式
[ 本帖最后由 airsupply 于 2012-9-12 10:31 编辑 ] |
|