找回密码
 注册
查看: 3448|回复: 2

流函数的疑问

[复制链接]
发表于 2011-9-22 09:45:18 | 显示全部楼层 |阅读模式

马上注册,结交更多好友,享用更多功能,让你轻松玩转社区。

您需要 登录 才可以下载或查看,没有账号?注册

x
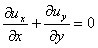
15)流函数之所以得名,是因为它是流线的函数表达式,也因为它是流两的表达式?
16)流函数存在的条件: ,如何推导?(反证法)
17)流函数的值就是流线的流量,如何解释?
未命名.jpg
发表于 2011-9-22 13:27:19 | 显示全部楼层
15) 最开始是为了对二维不可压无粘流的流线表达方程凑为某个量的全微分而引入的,因此而得名。因而可认为是因为他描述流线。而所谓的不同流线连线上的流量,是由于它本身的数学性质决定的。

16)就像我们把母鸡下的蛋叫做鸡蛋一样,我们知道就是鸡蛋,只要鸡下了蛋,就存在蛋。流函数也一样,只要有二维流线,就会有流函数。非要证明,那去证明泊松方程的是定性问题。

17)流线没有流量

两个不同流线之间的连线有流体流过,流函数在两根流线之间的差值表示通过不同流线之间的连线的流量
 楼主| 发表于 2011-9-22 15:51:53 | 显示全部楼层

非常感谢

非常感谢
您需要登录后才可以回帖 登录 | 注册

本版积分规则

快速回复 返回顶部 返回列表