找回密码
 注册
查看: 3052|回复: 2

[求助] 二阶矩模型中系数的求解问题

[复制链接]
发表于 2011-7-1 15:56:01 | 显示全部楼层 |阅读模式

马上注册,结交更多好友,享用更多功能,让你轻松玩转社区。

您需要 登录 才可以下载或查看,没有账号?注册

x
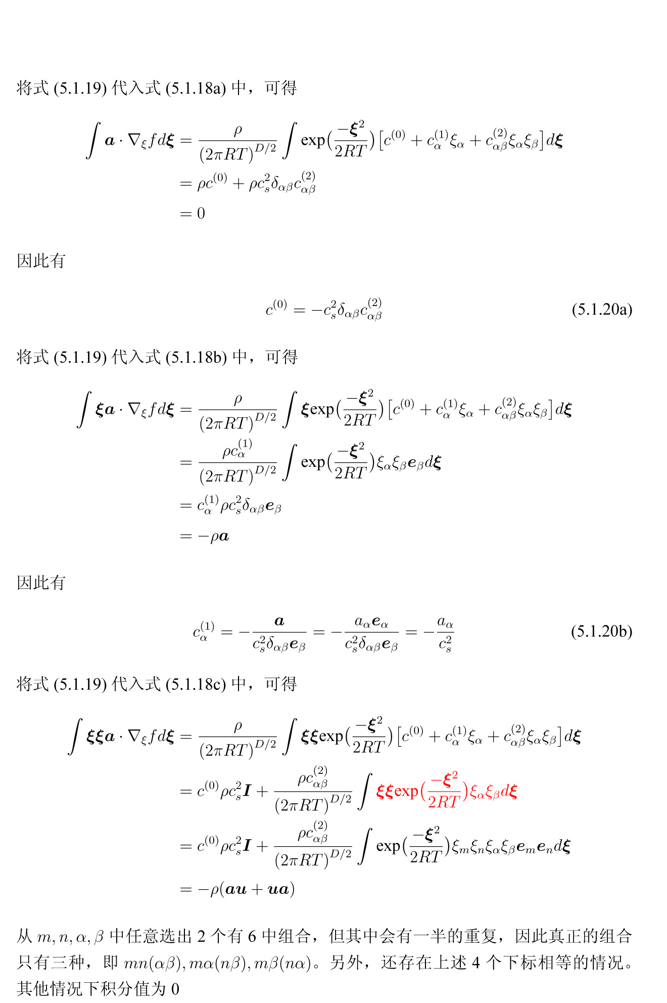
具体是下图中红色积分式的求解问题
问题出自郭老师新书的79页,原始文献是Luo老师98年的一篇文章(Unified Theory of Lattice Boltzmann Models for Nonideal Gases, Physical Review Letters, 81:1618).
aaa-1.jpg
 楼主| 发表于 2011-7-1 15:56:43 | 显示全部楼层
p2
aaa-2.jpg
 楼主| 发表于 2011-7-1 15:57:40 | 显示全部楼层
pdf格式

aaa.pdf

86.78 KB, 下载次数: 118

您需要登录后才可以回帖 登录 | 注册

本版积分规则

快速回复 返回顶部 返回列表