Home
个人中心
广告服务
使用帮助
关于我们
登录
注册
用户名
Email
自动登录
找回密码
密码
登录
注册
搜索
本版
用户
首页
Portal
前沿
动态
人物
会议
工具
论坛
BBS
家园
Space
好友
帖子
收藏
道具
勋章
任务
淘帖
导读
设置
退出
流体中文网
»
论坛
›
教学科研
›
CFD基础理论
›
CFD理论初学者论坛
›
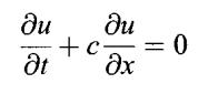
请教怎么证明一阶波动方程是双曲型方程
返回列表
查看:
7758
|
回复:
7
请教怎么证明一阶波动方程是双曲型方程
[复制链接]
zthdhr
zthdhr
当前离线
积分
156
IP卡
狗仔卡
发表于 2011-5-27 18:13:03
|
显示全部楼层
|
阅读模式
马上注册,结交更多好友,享用更多功能,让你轻松玩转社区。
您需要
登录
才可以下载或查看,没有账号?
注册
x
如题
回复
使用道具
举报
提升卡
置顶卡
沉默卡
喧嚣卡
变色卡
显身卡
通流
通流
当前离线
积分
9081
IP卡
狗仔卡
发表于 2011-5-27 20:06:10
|
显示全部楼层
按照定义,就是。
回复
支持
反对
使用道具
举报
显身卡
zthdhr
zthdhr
当前离线
积分
156
IP卡
狗仔卡
楼主
|
发表于 2011-5-27 21:29:48
|
显示全部楼层
回复 2# 通流 的帖子
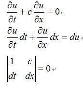
为什么根据安德森那本书上的解法只能得到一条特征线,即dx/dt=c
回复
支持
反对
使用道具
举报
显身卡
通流
通流
当前离线
积分
9081
IP卡
狗仔卡
发表于 2011-5-27 22:03:53
|
显示全部楼层
就是只有一根特征线啊。
你的第二个方程是哪里来的?
[
本帖最后由 通流 于 2011-5-27 22:05 编辑
]
回复
支持
反对
使用道具
举报
显身卡
zthdhr
zthdhr
当前离线
积分
156
IP卡
狗仔卡
楼主
|
发表于 2011-5-27 22:46:31
|
显示全部楼层
回复 4# 通流 的帖子
知道了,我可能对双曲型方程的定义还不清楚,一直以为双曲型方程有两条特征线,麻烦你能不能告诉我特征线数目与方程的关系(书上用的是两个一阶方程组两条特征线,北航的讲义上是一个二阶方程,两条特征线)第二个方程是u的全微分
回复
支持
反对
使用道具
举报
显身卡
通流
通流
当前离线
积分
9081
IP卡
狗仔卡
发表于 2011-5-27 23:00:12
|
显示全部楼层
不管几阶,这要能够把方程简化成一个或几个一阶波动方程的就是双曲型。物理意义是信息是向某个方向传播的。如果信息传播是没有方向的,也就是立刻传到各处的,就是椭圆形的。
回复
支持
反对
使用道具
举报
显身卡
我是胖胖
我是胖胖
当前离线
积分
2
IP卡
狗仔卡
发表于 2011-6-12 22:28:28
|
显示全部楼层
楼主,小弟弄不明白 “为什么根据安德森那本书上的解法只能得到一条特征线,即dx/dt=c“ 我也这么想的,请问你是怎么想通的?
回复
支持
反对
使用道具
举报
显身卡
通流
通流
当前离线
积分
9081
IP卡
狗仔卡
发表于 2011-6-12 22:45:25
|
显示全部楼层
这有什么想通想不通的问题?一阶波动方程的解就是那样。
回复
支持
反对
使用道具
举报
显身卡
返回列表
高级模式
B
Color
Image
Link
Quote
Code
Smilies
您需要登录后才可以回帖
登录
|
注册
本版积分规则
发表回复
回帖后跳转到最后一页
浏览过的版块
茶余饭后
ICEMCFD论坛
航空航天论坛
CAD/CAE软件综合论坛
流体力学基础
UDF专题讨论区
招生招聘
多相流论坛
ANSYS论坛
开源软件论坛
快速回复
返回顶部
返回列表